Постановление Правительства Самарской области от 23.03.2026 N 187 "О внесении изменений в Генеральный план сельского поселения Домашка муниципального района Кинельский Самарской области"
ПРАВИТЕЛЬСТВО САМАРСКОЙ ОБЛАСТИ
ПОСТАНОВЛЕНИЕ
от 23 марта 2026 г. N 187
О внесении изменений в Генеральный план сельского поселения Домашка
муниципального района Кинельский Самарской области
В соответствии c Градостроительным кодексом Российской Федерации, законами Самарской области «О градостроительной деятельности на территории Самарской области», «О перераспределении полномочий между органами местного самоуправления и органами государственной власти Самарской области в сферах градостроительной деятельности и рекламы на территории Самарской области» Правительство Самарской области ПОСТАНОВЛЯЕТ:
1. Внести в Генеральный план сельского поселения Домашка муниципального района Кинельский Самарской области, утверждённый решением Собрания представителей сельского поселения Домашка муниципального района Кинельский Самарской области от 10.10.2013 N 419, следующие изменения:
положение о территориальном планировании сельского поселения Домашка муниципального района Кинельский Самарской области изложить в редакции согласно приложению 1 к настоящему постановлению;
карту границ населенных пунктов, входящих в состав сельского поселения Домашка муниципального района Кинельский Самарской области (М 1:25000), изложить в редакции согласно приложению 2 к настоящему постановлению;
карту функциональных зон сельского поселения Домашка муниципального района Кинельский Самарской области (М 1:25000) изложить в редакции согласно приложению 3 к настоящему постановлению;
карту планируемого размещения объектов местного значения сельского поселения Домашка муниципального района КинельскийСамарской области (М 1:10000) изложить в редакции согласно приложению 4 к настоящему постановлению;
карту планируемого размещения объектов инженерной инфраструктуры местного значения сельского поселения Домашка муниципального района Кинельский Самарской области (М 1:10000) изложить в редакции согласно приложению 5 к настоящему постановлению;
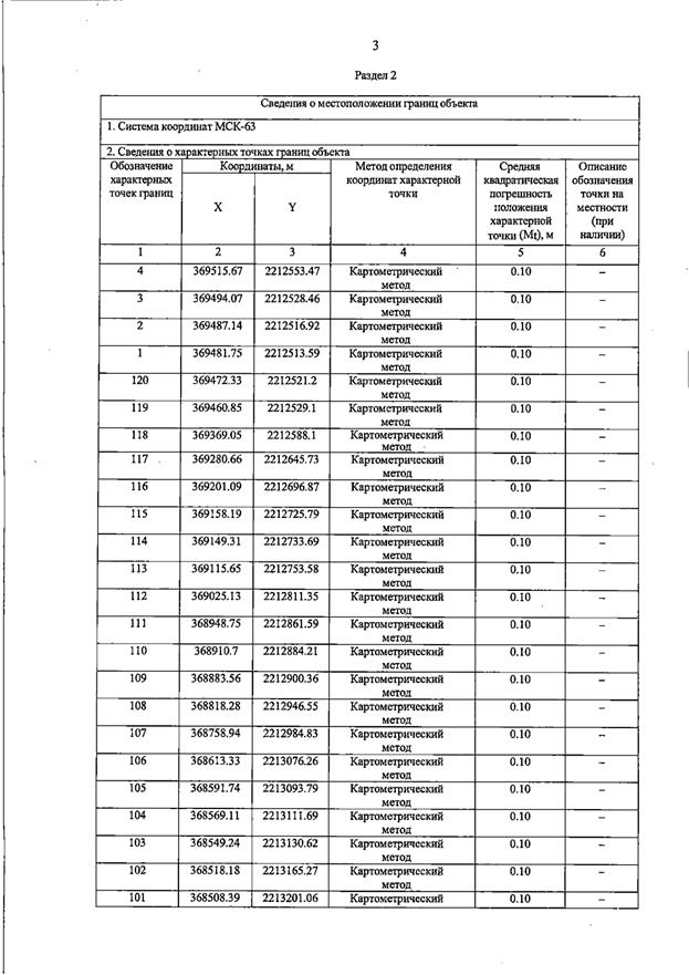
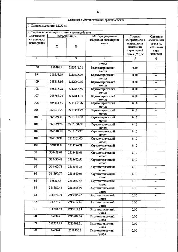
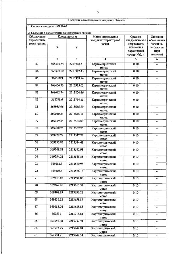
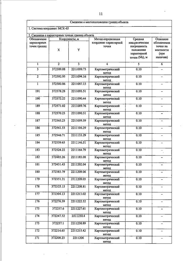
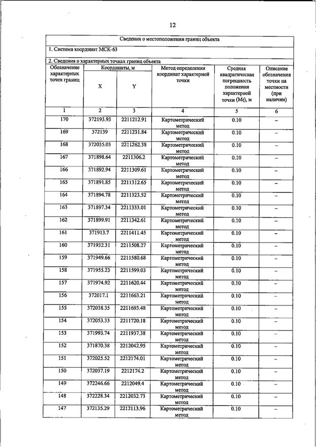
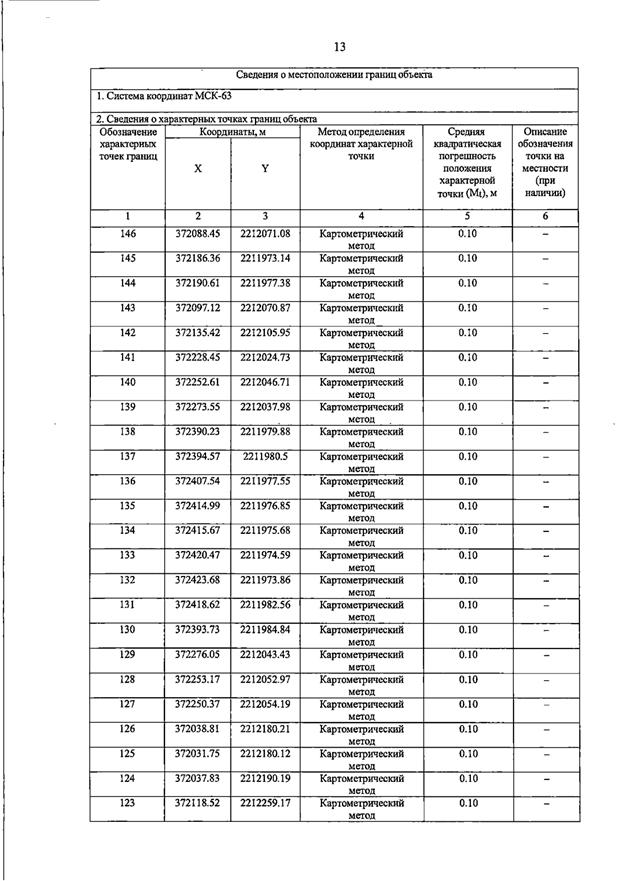
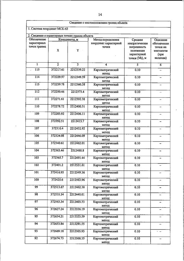
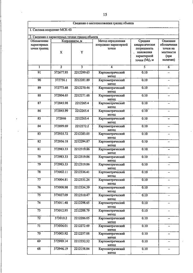
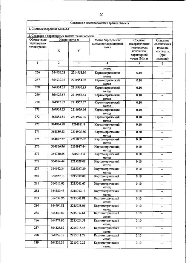
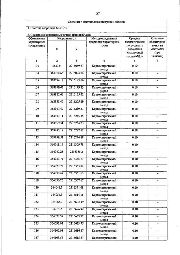
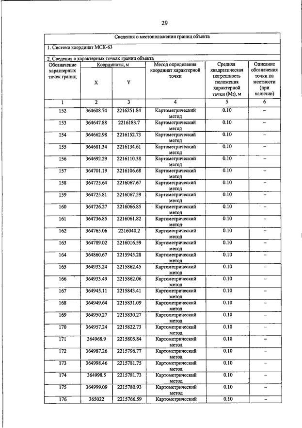
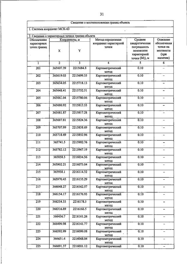
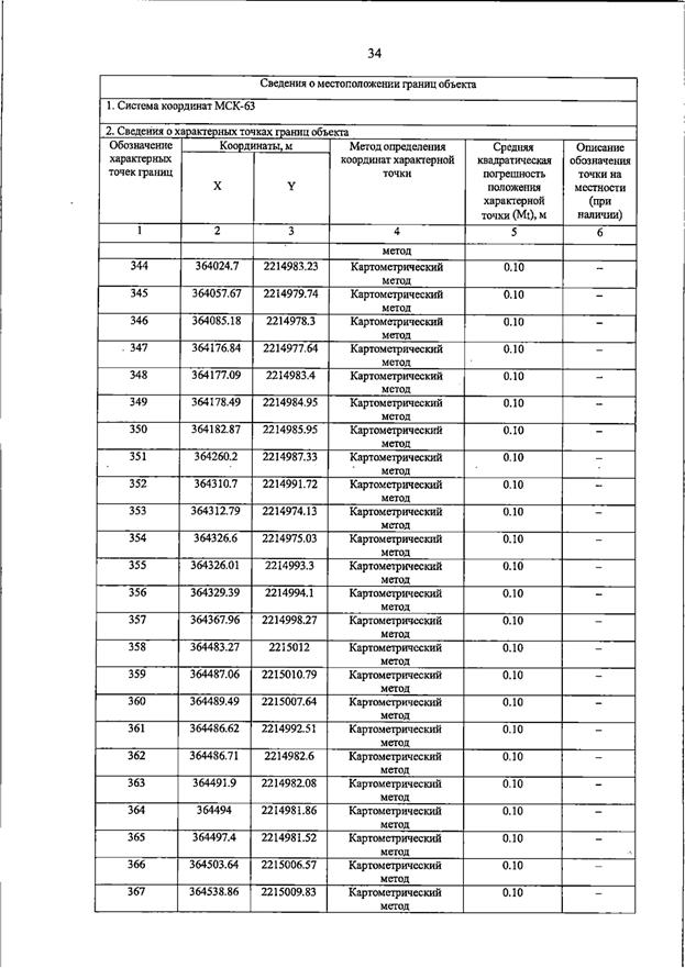
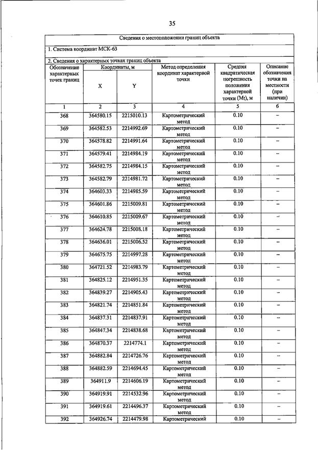
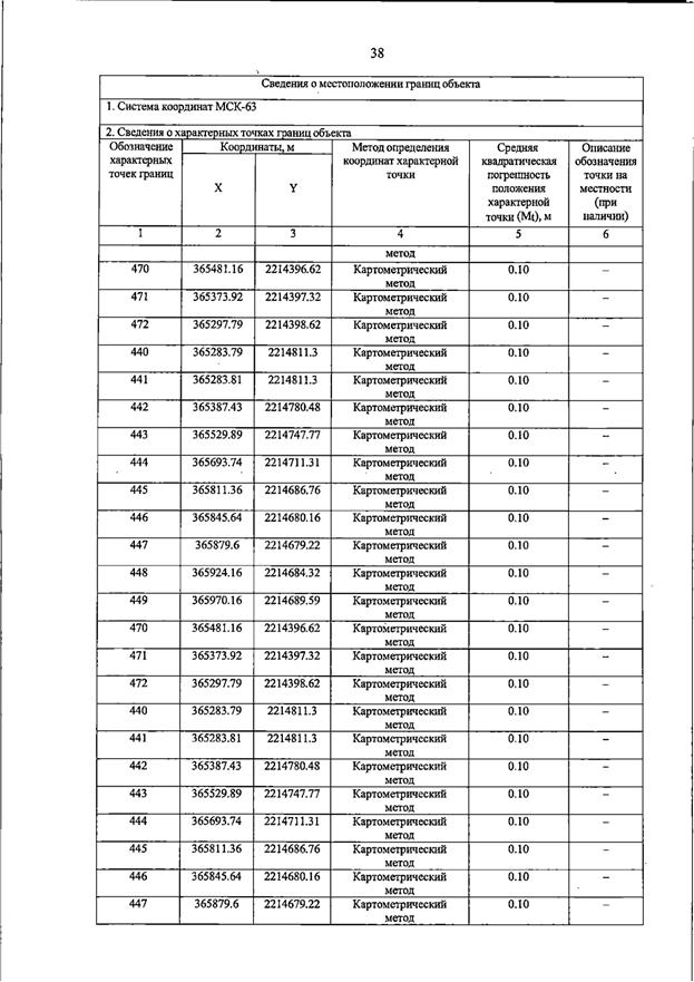
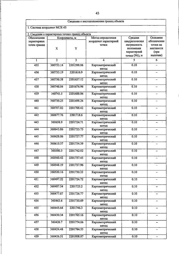
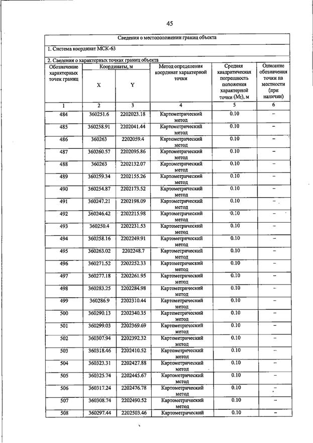
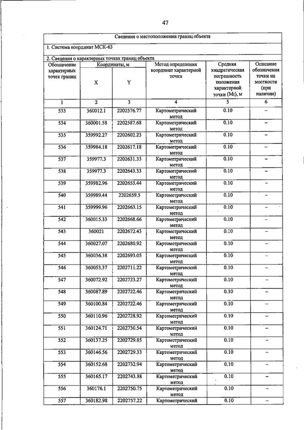
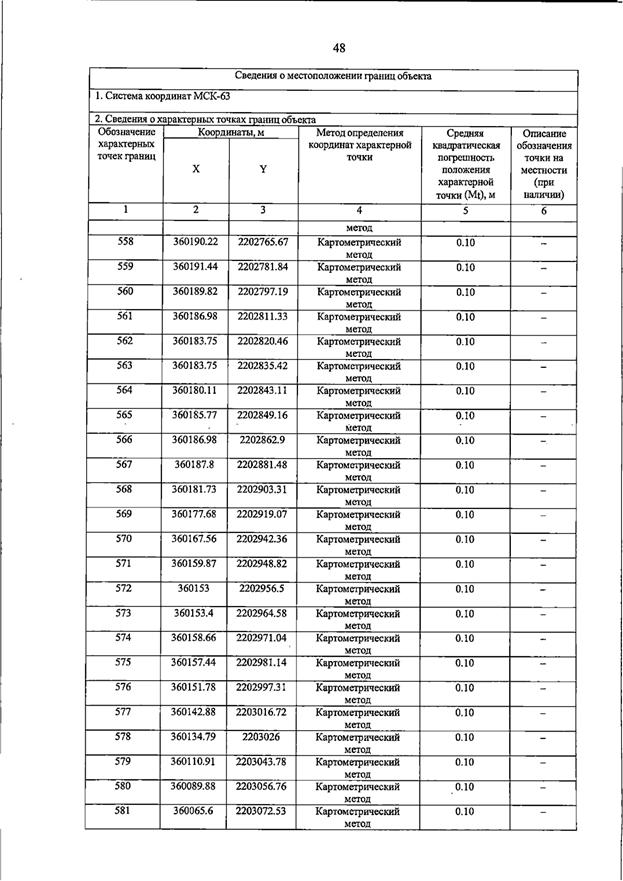
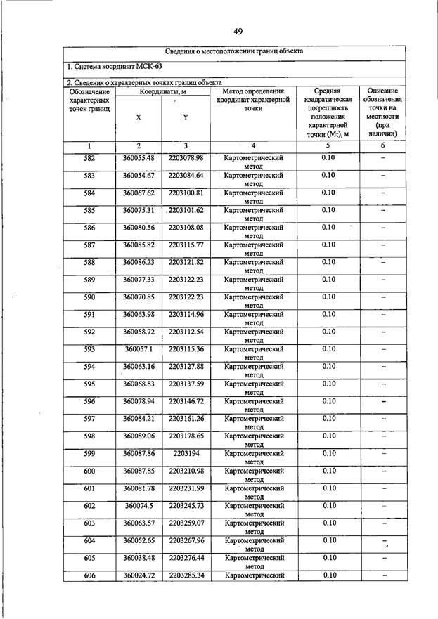
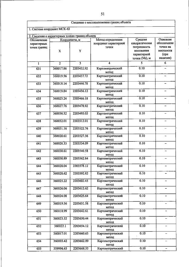
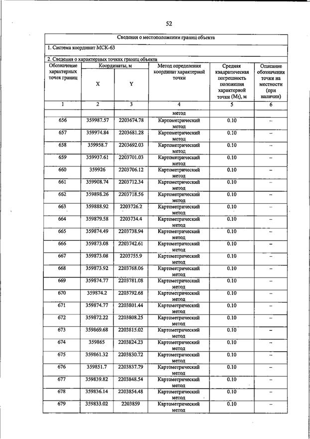
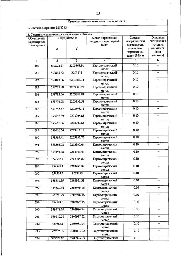
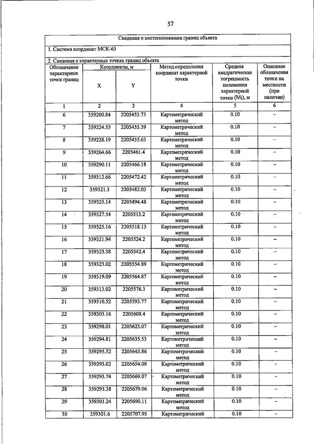
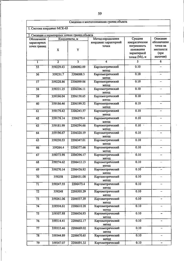
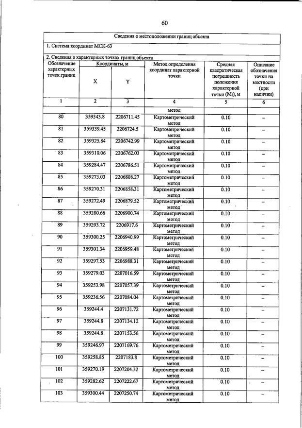
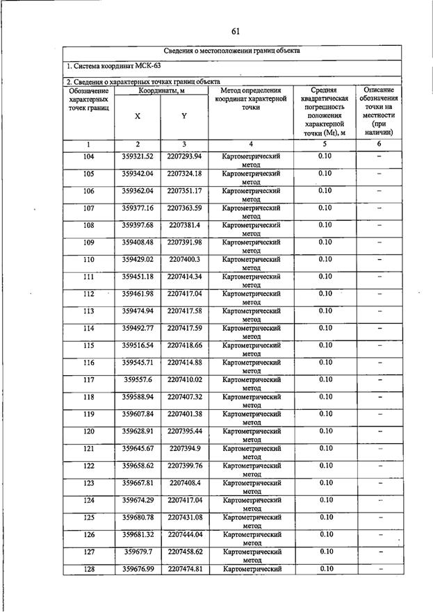
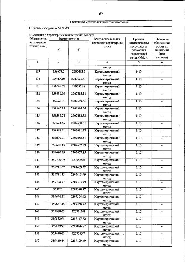
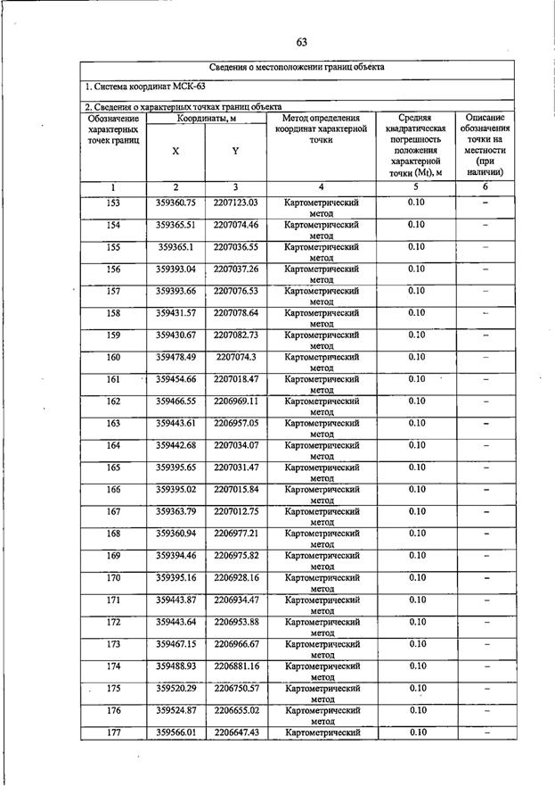
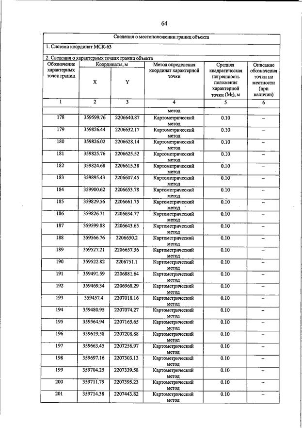
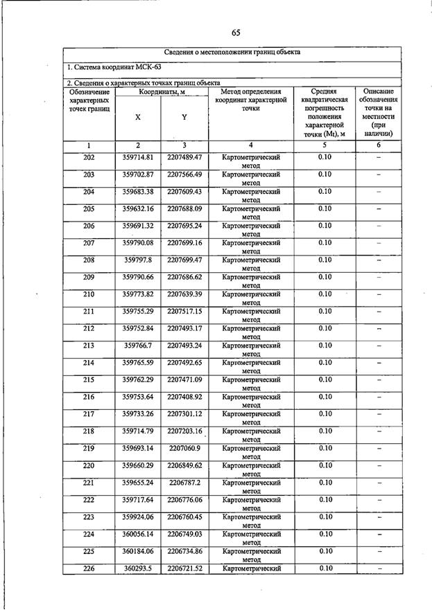
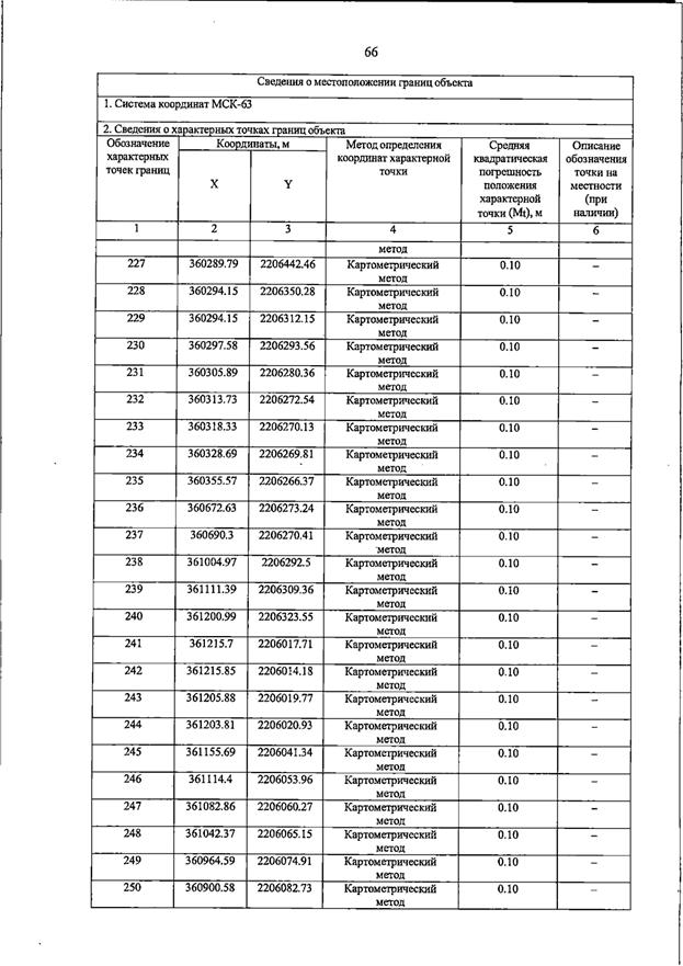
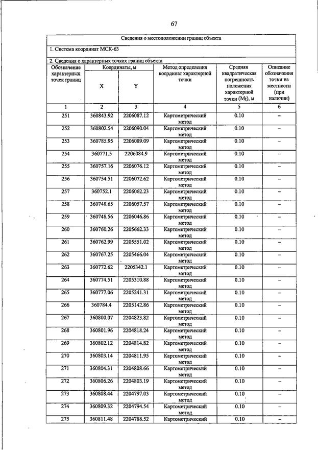
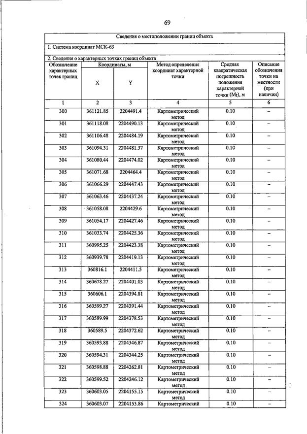
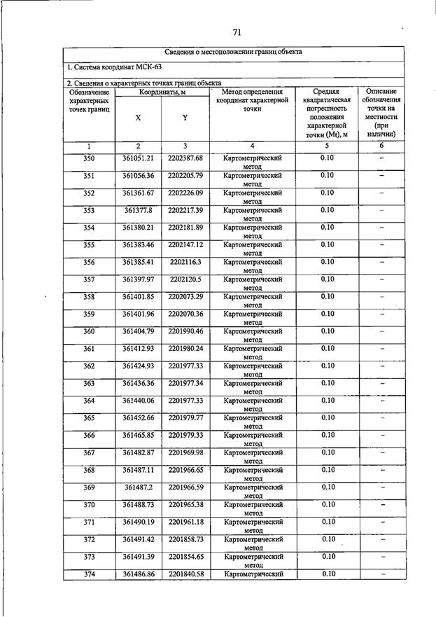
графические описания местоположения границ населенных пунктов, входящих в состав сельского поселения Домашка муниципального района Кинельский Самарской области, изложить в редакции согласно приложению 6 к настоящему постановлению.
2. Министерству градостроительной политики Самарской области обеспечить доступ к утверждённому Генеральному плану сельского поселения Домашка муниципального района Кинельский Самарской области в федеральной государственной информационной системе территориального планирования в срок, не превышающий десяти дней со дня вступления в силу настоящего постановления.
3. Контроль за выполнением настоящего постановления возложить на министерство градостроительной политики Самарской области.
4. Опубликовать настоящее постановление в средствах массовой информации.
5. Настоящее постановление вступает в силу со дня его официального опубликования.
Первый
заместитель Губернатора
Самарской области –
председатель Правительства
Самарской области В.А. Шабалатов
ПРИЛОЖЕНИЕ 1
к постановлению Правительства
Самарской области
от 23 марта 2026 г. N 187
ПОЛОЖЕНИЕ
о территориальном планировании сельского поселения Домашка
муниципального района Кинельский Самарской области
1. Общие положения
1.1. В соответствии с градостроительным законодательством Российской Федерации Генеральный план сельского поселения Домашка муниципального района Кинельский Самарской области (далее – Генеральный план) является документом территориального планирования муниципального образования. Генеральным планом определено, исходя из совокупности социальных, экономических, экологических и иных факторов, назначение территорий сельского поселения Домашка муниципального района Кинельский Самарской области в целях обеспечения их устойчивого развития, развития инженерной, транспортной и социальной инфраструктур, обеспечения учета интересов граждан и их объединений, субъектов Российской Федерации, муниципальных образований.
1.2. Генеральный план разработан в соответствии с Конституцией Российской Федерации, Градостроительным кодексом Российской Федерации, Земельным кодексом Российской Федерации, Федеральным законом «Об общих принципах организации законодательных (представительных) и исполнительных органов государственной власти субъектов Российской Федерации», иными федеральными законами и нормативными правовыми актами Российской Федерации, законами и иными нормативными правовыми актами Самарской области, уставом сельского поселения Домашка муниципального района Кинельский Самарской области, иными нормативными правовыми актами сельского поселения Домашка муниципального района Кинельский Самарской области.
1.3. При осуществлении территориального планирования сельского поселения Домашка учтены интересы Российской Федерации, Самарской области, муниципального района Кинельский по реализации полномочий федеральных органов государственной власти, органов государственной власти Самарской области и органов местного самоуправления муниципального района Кинельский, а также необходимость создания благоприятных условий для реализации на территории Самарской области приоритетных национальных проектов, федеральных и областных целевых программ, программ развития муниципального района Кинельский Самарской области.
1.4. Генеральный план разработан в соответствии со Стратегией социально-экономического развития Самарской области на период до 2030 года, утвержденной постановлением Правительства Самарской области от 12.07.2017 N 441, планами и программами комплексного социально-экономического развития муниципального района Кинельский и сельского поселения Домашка.
1.5. При подготовке Генерального плана учтены:
программы, принятые в установленном порядке и реализуемые за счет средств федерального бюджета, бюджета Самарской области, бюджета муниципального района Кинельский, бюджета сельского поселения Домашка;
решения органов государственной власти, органов местного самоуправления, иных главных распорядителей средств соответствующих бюджетов, предусматривающие создание на территории сельского поселения Домашка объектов федерального значения, объектов регионального значения, объектов местного значения;
инвестиционные программы субъектов естественных монополий, организаций коммунального комплекса;
сведения, содержащиеся в федеральной государственной информационной системе территориального планирования;
Схема территориального планирования Самарской области, утвержденная постановлением Правительства Самарской области от 13.12.2007 N 261;
Схема территориального планирования муниципального района Кинельский Самарской области, утвержденная решением Собрания представителей муниципального района Кинельский Самарской области от 28.12.2009 N 329;
предложения заинтересованных лиц.
1.6. Генеральный план включает:
положение о территориальном планировании сельского поселения Домашка муниципального района Кинельский Самарской области;
карту границ населённых пунктов, входящих в состав сельского поселения Домашка муниципального района Кинельский Самарской области (М 1:25 000);
карту функциональных зон сельского поселения Домашка муниципального района Кинельский Самарской области (М 1:25 000);
карты планируемого размещения объектов местного значения сельского поселения Домашка муниципального района Кинельский Самарской области.
1.7. Положение о территориальном планировании сельского поселения Домашка муниципального района Кинельский Самарской области включает:
сведения о видах, назначении и наименованиях планируемых для размещения объектов местного значения сельского поселения Домашка, их основные характеристики, их местоположение (для объектов местного значения, не являющихся линейными объектами, указываются функциональные зоны), а также характеристики зон с особыми условиями использования территорий в случае, если установление таких зон требуется в связи с размещением данных объектов;
параметры функциональных зон, а также сведения о планируемых для размещения в них объектах федерального значения, объектах регионального значения, объектах местного значения муниципального района Кинельский, объектов местного значения сельского поселения Домашка, за исключением линейных объектов.
1.8. Карты планируемого размещения объектов местного значения сельского поселения Домашка включают:
карту планируемого размещения объектов местного значения сельского поселения Домашка муниципального района Кинельский Самарской области (М 1:10 000);
карту планируемого размещения объектов инженерной инфраструктуры местного значения сельского поселения Домашка муниципального района Кинельский Самарской области (М 1:10 000).
1.9. На картах планируемого размещения объектов местного значения сельского поселения Домашка отображены планируемые для размещения объекты местного значения – объекты капитального строительства, иные объекты, территории, которые необходимы для осуществления органами местного самоуправления сельского поселения Домашка полномочий по вопросам местного значения сельского поселения и в пределах переданных государственных полномочий в соответствии с федеральными законами, законами Самарской области, уставом сельского поселения Домашка и оказывают существенное влияние на социально-экономическое развитие сельского поселения Домашка. Планируемые для размещения линейные объекты, расположенные за границами населенных пунктов сельского поселения Домашка, отображены как на картах планируемого размещения объектов местного значения сельского поселения Домашка муниципального района Кинельский Самарской области (М 1:10 000), так и на карте функциональных зон сельского поселения Домашка муниципального района Кинельский Самарской области (М 1:25 000).
1.10. Функциональное зонирование территории отображено на картах Генерального плана в соответствии с Требованиями к описанию и отображению в документах территориального планирования объектов федерального значения, объектов регионального значения, объектов местного значения, утвержденными приказом министерства экономического развития Российской Федерации от 09.01.2018 N 10 (далее – Приказ). Для определения границ функциональных зон может применяться как карта функциональных зон сельского поселения Домашка муниципального района Кинельский Самарской области (М 1:25 000), так и карты планируемого размещения объектов местного значения сельского поселения Домашка муниципального района Кинельский Самарской области (М 1:10 000).
1.11. Виды объектов местного значения сельского поселения Домашка, отображенные на картах планируемого размещения объектов местного значения сельского поселения Домашка, соответствуют требованиям Градостроительного кодекса Российской Федерации и части 2.1 статьи 5 Закона Самарской области «О градостроительной деятельности на территории Самарской области».
Отображение объектов на картах Генерального плана выполнено в соответствии с требованиями Приказа.
1.12. Реализация Генерального плана осуществляется путем выполнения мероприятий, которые предусмотрены программами, утверждаемыми администрацией сельского поселения Домашка, и реализуемыми за счет средств местного бюджета, или нормативными правовыми актами администрации сельского поселения Домашка, программами комплексного развития систем коммунальной инфраструктуры поселения, программами комплексного развития транспортной инфраструктуры поселения, программами комплексного развития социальной инфраструктуры поселения и (при наличии) инвестиционными программами организаций коммунального комплекса. Указанные мероприятия могут включать:
подготовку и утверждение документации по планировке территории в соответствии с Генеральным планом;
принятие в порядке, установленном законодательством Российской Федерации, решений о резервировании земель, об изъятии, в том числе путем выкупа, земельных участков для муниципальных нужд, о переводе земель или земельных участков из одной категории в другую;
создание объектов местного значения сельского поселения Домашка на основании документации по планировке территории.
1.13. В случае если программы, реализуемые за счет средств бюджета сельского поселения Домашка, решения органов местного самоуправления сельского поселения Домашка, иных главных распорядителей средств бюджета сельского поселения Домашка, предусматривающие создание объектов местного значения сельского поселения Домашка, инвестиционные программы субъектов естественных монополий, организаций коммунального комплекса, приняты до утверждения Генерального плана и предусматривают создание объектов местного значения сельского поселения Домашка, подлежащих отображению в Генеральном плане, но не предусмотренных Генеральным планом, или в случае внесения в Генеральный план изменений в части размещения объектов местного значения такие программы и решения подлежат приведению в соответствие с Генеральным планом в двухмесячный срок соответственно с даты их утверждения, даты внесения в них изменений.
1.14. В случае если программы, реализуемые за счет средств бюджета сельского поселения Домашка, решения органов местного самоуправления сельского поселения Домашка, предусматривающие создание объектов местного значения сельского поселения Домашка, инвестиционные программы субъектов естественных монополий, организаций коммунального комплекса принимаются после утверждения Генерального плана и предусматривают создание объектов местного значения сельского поселения Домашка, подлежащих отображению в Генеральном плане, но не предусмотренных Генеральным планом, в Генеральный план в пятимесячный срок с даты утверждения таких программ и принятия таких решений вносятся соответствующие изменения.
1.15. В случае если в Генеральный план внесены изменения, предусматривающие строительство или реконструкцию объектов коммунальной, транспортной, социальной инфраструктур, которые являются объектами местного значения и не включены в программы комплексного развития систем коммунальной инфраструктуры поселения, программы комплексного развития транспортной инфраструктуры поселения, программы комплексного развития социальной инфраструктуры поселения, данные программы подлежат приведению в соответствие с Генеральным планом в трехмесячный срок с даты внесения соответствующих изменений в Генеральный план.
1.16. Указанные в настоящем Положении характеристики планируемых для размещения объектов местного значения сельского поселения Домашка (площадь, протяженность, количество мест и иные) являются ориентировочными и подлежат уточнению в документации по планировке территории и в проектной документации на соответствующие объекты.
1.17. Вновь построенные, прошедшие реконструкцию или капитальный ремонт объекты должны соответствовать требованиям доступности для маломобильных групп населения (в том числе инвалидов-колясочников, инвалидов по слуху и зрению).
1.18. Характеристики зон с особыми условиями использования территории планируемых объектов местного значения сельского поселения Домашка, в случае если установление таких зон требуется в связи с размещением данных объектов, определены в соответствии с законодательством Российской Федерации, действовавшим на момент подготовки Генерального плана.
Размеры санитарно-защитных зон планируемых объектов местного значения сельского поселения Домашка, являющихся источниками воздействия на среду обитания, определены в соответствии с СанПиН 2.2.1/2.1.1.1200-03 «Санитарно-защитные зоны и санитарная классификация предприятий, сооружений и иных объектов», утвержденными постановлением Главного государственного санитарного врача Российской Федерации от 25.09.2007 N 74 (далее – СанПиН 2.2.1/2.1.1.1200-03).
Размеры санитарно-защитных зон планируемых объектов местного значения сельского поселения Домашка, являющихся источниками воздействия на среду обитания, для которых СанПиН 2.2.1/2.1.1.1200-03 не установлены размеры санитарно-защитной зоны и рекомендуемые разрывы, а также размеры санитарно-защитных зон планируемых объектов местного значения сельского поселения Домашка IV – V класса опасности, определяются проектами ориентировочного размера санитарно-защитной зоны соответствующих объектов.
1.19. Применение отображенных на картах материалов по обоснованию Генерального плана зон с особыми условиями использования территории осуществляется с учетом положений Земельного кодекса Российской Федерации о том, что установление, изменение, прекращение существования зоны с особыми условиями использования территории осуществляются на основании решения уполномоченного органа государственной власти, органа местного самоуправления и положений статьи 26 Федерального закона от «О внесении изменений в Градостроительный кодекс Российской Федерации и отдельные законодательные акты Российской Федерации».
Ограничения использования земельных участков в зонах с особыми условиями использования территории считаются установленными или измененными со дня внесения сведений в Единый государственный реестр недвижимости.
Определенные в соответствии с требованиями законодательства в области обеспечения санитарно-эпидемиологического благополучия населения и отображенные на картах материалов по обоснованию Генерального плана ориентировочные, расчетные (предварительные) санитарно-защитные зоны применяются в порядке, установленном статьей 26 Федерального закона «О внесении изменений в Градостроительный кодекс Российской Федерации и отдельные законодательные акты Российской Федерации».
1.20. Отображение на картах Генерального плана планируемых для размещения объектов федерального значения, объектов регионального значения, объектов местного значения муниципального района Кинельский не определяет их местоположение, а осуществляется в целях определения функциональных зон их размещения.
1.21. Отображение на картах Генерального плана существующих и планируемых объектов, не являющихся объектами федерального значения, объектами регионального значения, объектами местного значения, осуществляется в информационных целях.
2. Сведения о видах, назначении и наименованиях планируемых для размещения объектов местного значения
сельского поселения Домашка муниципального района Кинельский Самарской области, их основные
характеристики и местоположение
2.1. Объекты местного значения в сфере физической культуры и массового спорта
|
N п/п |
Назначение и наименование объекта |
Местоположение объекта |
Вид работ, который планируется в целях размещения объекта |
Срок, до которого планируется размещение объекта, годы |
Основные характеристики объекта |
Характеристики зон с особыми условиями использования территорий |
||
|
площадь земельного участка, га |
площадь объекта, га |
иные характеристики |
||||||
|
1. |
Плоскостное спортивное сооружение |
село Домашка, в центральной части села, в районе ул. Самарской |
Реконструкция |
2035 |
|
1,4 га |
Футбольное поле |
Установление зон с особыми условиями использования территорий в связи с размещением объекта не требуется |
|
2. |
Плоскостное спортивное сооружение |
село Парфёновка, площадка N 1 |
Строительство |
2035 |
|
540 кв. м |
|
|
2.2. Объекты местного значения в сфере культуры
|
N п/п |
Назначение и наименование объекта |
Местоположение объекта |
Вид работ, который планируется в целях размещения объекта |
Срок, до которого планируется размещение объекта, годы |
Основные характеристики объекта |
Характеристики зон с особыми условиями использования территорий |
||
|
площадь земельного участка, га |
площадь объекта, га |
иные характеристики |
||||||
|
1. |
Здание клуба |
село Домашка, в центральной части села, пер. Школьный, 5 |
Реконструкция |
2035 |
|
|
Увеличение вместимости до 500 мест с размещением подросткового клуба |
Установление зон с особыми условиями использования территорий в связи с размещением объекта не требуется |
|
2. |
Культурно-досуговый центр |
село Парфёновка, в центральной части села, ул. Центральная, 2 |
Реконструкция |
2035 |
|
|
Увеличение вместимости до 200 мест с размещением подросткового клуба |
|
2.3. Объекты местного значения в сфере обеспечения первичных мер пожарной безопасности в границах
населенных пунктов
|
N п/п |
Назначение и Наименование объекта |
Местоположение объекта |
Вид работ, который планируется в целях размещения объекта |
Срок, до которого планируется размещение объекта, годы |
Основные характеристики объекта |
Характеристики зон с особыми условиями использования территорий |
||
|
площадь земельного участка, га |
площадь объекта, га |
иные характеристики |
||||||
|
1. |
Пожарный пирс |
село Домашка, в восточной части села на берегу р. Самары, в районе ул. Советской |
Строительство |
2035 |
|
150 кв. м |
|
Установление зон с особыми условиями использования территорий в связи с размещением объекта не требуется |
|
2. |
Пожарный пирс |
село Парфёновка, в северо-западной части села на берегу р. Домашки |
Реконструкция |
2035 |
|
150 кв. м |
|
|
2.4. Объекты местного значения в сфере организации ритуальных услуг и содержания мест захоронения
|
N п/п |
Назначение и наименование объекта |
Местоположение объекта |
Вид работ, который планируется в целях размещения объекта |
Срок, до которого планируется размещение объекта, годы |
Основные характеристики объекта |
Характеристики зон с особыми условиями использования территорий |
||
|
площадь земельного участка, га |
площадь объекта, га |
иные характеристики |
||||||
|
1. |
Кладбище |
в западной части села Домашка |
Расширение |
2035 |
|
|
Увеличение на 3 га |
В соответствии с СанПиН 2.2.1/2.1.1.1200-03 ориентировочный размер санитарно-защитной зоны объекта – 50 м |
2.5. Объекты местного значения в сфере водоснабжения
|
N п/п |
Назначение и наименование объекта |
Местоположение объекта |
Вид работ, который планируется в целях размещения объекта |
Срок, до которого планируется размещение объекта, годы |
Основные характеристики объекта |
Характеристики зон с особыми условиями использования территорий |
|
|
протяженность, км |
иные характеристики
|
||||||
|
1. |
Водопроводные сети |
село Домашка |
Строительство |
2035 |
9,4 |
|
В соответствии с СанПиН 2.1.4.1110-02 ширину санитарно-защитной полосы следует принимать по обе стороны от крайних линий водопровода: при отсутствии грунтовых вод – не менее 10 м при диаметре водоводов до 1000 мм и не менее 20 м при диаметре водоводов более 1000 мм; при наличии грунтовых вод – не менее 50 м вне зависимости от диаметра водоводов В соответствии с СанПиН 2.1.4.1110-02 радиус 1-го пояса зоны санитарной охраны от 30 до 50 м в зависимости от защищенности подземных вод.
|
|
2. |
Водопроводные сети |
село Домашка в существующей застройке |
Реконструкция |
2035 |
15,9 |
|
|
|
3. |
Водопроводные сети |
село Парфёновка |
Строительство |
2035 |
1,5
|
|
|
|
4. |
Водопроводные сети |
село Парфёновка в существующей застройке |
Реконструкция |
2035 |
6,3 |
|
|
|
5. |
Водопроводные сети |
посёлок Нижненикольский |
Строительство |
2035 |
4,2 |
|
|
|
6.
7. |
Водопроводные сети
Водозабор |
посёлок Крестьянский
посёлок Крестьянский на площадке N 1 |
Строительство
Строительство |
2035
2035 |
7,2
|
Характеристики определяются на стадии рабочего проектирования |
|
|
|
|
|
|
|
|
|
Размеры 2-го и 3-го поясов зоны санитарной охраны определяются на основании гидрогеологических расчетов |
|
8. |
Водонапорная башня |
село Домашка в юго-восточной части села |
Реконструкция |
2035 |
|
Мощность – 25 куб. м/сут |
В соответствии с СанПиН 2.1.4.1110-02 ориентировочный размер санитарно-защитной зоны объекта – 10 м |
|
9. |
Водонапорная башня |
посёлок Крестьянский на площадке N 1 |
Строительство |
2035 |
|
Характеристики определяются на стадии рабочего проектирования |
|
2.6. Объекты местного значения в сфере водоотведения
|
N п/п |
Назначение и наименование объекта |
Местоположение объекта |
Вид работ, который планируется в целях размещения объекта |
Срок, до которого планируется размещение объекта, годы |
Основные характеристики объекта |
Характеристики зон с особыми условиями использования территорий |
|
|
протяженность, км |
иные характеристики
|
||||||
|
1. |
Канализацион-ные очистные сооружения |
за южной границей села Домашка |
Строительство |
2035 |
|
Производи тельность – 400 куб. м/сут |
В соответствии с СанПиН 2.2.1/2.1.1.1200-03 ориентировочный размер санитарно-защитной зоны объекта – 200 м |
2.7. Объекты местного значения в сфере газоснабжения
|
N п/п |
Назначение и наименование объекта |
Местоположение объекта |
Вид работ, который планируется в целях размещения объекта |
Срок, до которого планируется размещение объекта, годы |
Основные характеристики объекта |
Характеристики зон с особыми условиями использования территорий |
||
|
протяженность, км |
иные характеристики
|
|||||||
|
1. |
Сети газоснабжения |
село Домашка |
Строительство |
2035 |
11 |
|
В соответствии с Правилами охраны газораспределительных сетей, утвержденными постановлением Правительства Российской Федерации от 20.11.2000 N 878, вдоль трасс наружных газопроводов охранные зоны устанавливаются в виде территории, ограниченной условными линиями, проходящими на расстоянии 2 метров с каждой стороны газопровода; вдоль трасс подземных газопроводов из полиэтиленовых труб при использовании медного провода для обозначения трассы газопровода – в виде территории, ограниченной условными линиями, проходящими на расстоянии 3 метров от газопровода со стороны провода и 2 метров – с противоположной стороны В соответствии с Правилами охраны газораспределительных сетей, утвержденными постановлением Правительства Российской Федерации от 20.11.2000 N 878, охранная зона устанавливается в виде территории, ограниченной замкнутой линией, проведенной на расстоянии 10 метров от границ объекта
|
|
|
2. |
Сети газоснабжения |
село Парфёновка |
Строительство |
2035 |
1,5
|
|
||
|
3. |
Сети газоснабжения |
посёлок Нижненикольский |
Строительство |
2035 |
6,4 |
|
||
|
4.
5.
6.
7.
8.
9. |
Сети газоснабжения
Газорегуляторный пункт
Газорегуляторный пункт
Газорегуляторный пункт
Газорегуляторный пункт
Газорегуляторный пункт |
посёлок Крестьянский
за границей поселка Крестьянский в северо-восточной части поселка поселок Крестьянский на юго-востоке поселка посёлок Нижненикольский на востоке поселка посёлок Нижненикольский, ул. Лесная посёлок Нижненикольский, ул. Мичурина |
Строительство
Строительство
Строительство
Строительство
Строительство
Строительство
|
2035
2035
2035
2035
2035
2035 |
10 |
Тип – шкафной, производи-тельность – до 100 куб. м/час
Тип – шкафной
3 шт., тип – шкафной
Тип – шкафной
Тип – шкафной
|
||
|
10. |
Газорегуляторный пункт |
посёлок Нижненикольский, пер. Заливной |
Строительство |
2035 |
|
Тип – шкафной |
||
2.8. Объекты местного значения в сфере электроснабжения
|
N п/п |
Назначение и наименование объекта |
Местоположение объекта |
Вид работ, который планируется в целях размещения объекта |
Срок, до которого планируется размещение объекта, годы |
Основные характеристики объекта |
Характеристики зон с особыми условиями использования территорий |
|
|
протяжен-ность, км |
иные характеристики
|
||||||
|
1. |
Комплектные трансформаторные подстанции |
село Домашка на площадке N1, на площадке N 2, на площадке N 5, по ул. Большой |
Строительство |
2035 |
|
ТП – 10/0,4 кВ 1Х160кВА – 1шт ТП – 10/0,4 кВ 1Х100 кВА – 5шт |
В соответствии с СанПиН 2.2.1/2.1.1.1200-03 размер санитарно-защитной зоны устанавливается в зависимости от типа (открытые, закрытые), мощности на основании расчетов физического воздействия на атмосферный воздух, а также результатов натурных измерений |
|
2. |
Комплектные трансформаторные подстанции |
село Парфёновка на площадке N 1 |
Строительство |
2035 |
|
ТП – 10/0,4 кВ 1Х100 кВА – 2шт ТП – 10/0,4 кВ 1Х160кВА – 1шт |
|
|
3. |
Комплектные трансформа-торные подстанции |
посёлок Крестьянский на площадке N 1 |
Строительство |
2035 |
|
ТП – 10/0,4 кВ 1Х100 кВА – 2шт ТП-10/0,4 кВ 1Х160кВА – 1шт |
|
2.9. Объекты местного значения в сфере транспортной инфраструктуры
|
N п/п |
Назначение и наименование объекта |
Местоположение объекта |
Вид работ, который планируется в целях размещения объекта |
Срок, до которого планируется размещение объекта, годы |
Основные характеристики объекта |
Характеристики зон с особыми условиями использования территорий |
|
|
протяженность, км |
иные характеристики
|
||||||
|
1.
2.
3.
4. |
Улицы и автомобильные дороги местного значения
Улицы и автомобильные дороги местного значения Улицы и автомобильные дороги местного значения Улицы и автомобильные дороги местного значения
|
село Домашка
село Домашка
село Парфёновка
село Парфёновка |
Строительство
Реконструкция
Строительство
Реконструкция |
2035
2035
2035
2035 |
5,3
0,5
1,0
1,6 |
Основная улица – 1,1 км второстепенная улица – 4,2 км
Второстепенная улица |
Установление зон с особыми условиями использования территорий в связи с размещением объекта не требуется
Установление зон с особыми условиями использования территорий в связи с размещением объекта не требуется |
|
5. |
Улицы и автомобильные дороги местного значения |
посёлок Нижненикольский |
Строительство |
2035 |
0,75 |
Второстепенная улица |
|
|
6. |
Улицы и автомобильные дороги местного значения |
посёлок Нижненикольский |
Реконструкция |
2035 |
2,9 |
|
|
|
7. |
Улицы и автомобильные дороги местного значения |
посёлок Крестьянский |
Строительство |
2035 |
8,4 |
Главная улица – 0,7 км Основная улица – 1,4 км Второстепенная улица – 6,3 км |
|
|
8.
9. |
Улицы и автомобильные дороги местного значения Улицы и автомобильные дороги местного значения
|
посёлок Крестьянский
подъезд к посёлку Нижненикольскому
|
Реконструкция
Реконструкция |
2035
2035 |
0,4
1,65 |
|
|
2.10. Объекты местного значения в сфере создания условий для массового отдыха жителей
и организации обустройства мест массового отдыха населения
|
N п/п |
Назначение и наименование объекта |
Местоположение объекта |
Вид работ, который планируется в целях размещения объекта |
Срок, до которого планируется размещение объекта, годы |
Основные характеристики объекта |
Характеристики зон с особыми условиями использования территорий |
||
|
площадь земельного участка |
площадь объекта, га |
иные характеристики |
||||||
|
1. |
Зона отдыха |
село Домашка |
Строительство |
2035 |
|
0,6 |
|
Установление зон с особыми условиями использования территорий в связи с размещением объекта не требуется |
|
2. |
Зона отдыха |
село Парфёновка |
Строительство |
2035 |
|
1 |
|
|
|
3. |
Зона отдыха |
посёлок Крестьянский |
Строительство |
2035 |
|
1,2 |
|
|
2.11. Объекты местного значения в сфере защиты населения и территории поселения
от чрезвычайных ситуаций природного и техногенного характера
|
N п/п |
Назначение и наименование объекта |
Местоположение объекта |
Вид работ, который планируется в целях размещения объекта |
Срок, до которого планируется размещение объекта, годы |
Основные характеристики объекта |
Характеристики зон с особыми условиями использования территорий |
|
|
протяженность, км |
иные характеристики
|
||||||
|
1. |
Дамба |
посёлок Нижненикольский вдоль северо-восточной границы села |
Строительство |
2035 |
1,8 |
|
Установление зон с особыми условиями использования территорий в связи с размещением объекта не требуется |
3. Параметры функциональных зон, а также сведения о планируемых для размещения в них объектах
регионального значения, объектах местного значения муниципального района Кинельский, объектах местного
значения сельского поселения Домашка, за исключением линейных объектов
|
Вид зоны |
Тип застройки |
Площадь, га |
Максимальная этажность застройки |
Максимальный размер санитарно-защитной зоны расположенных или планируемых к расположению в зоне объектов (метров) |
|
Жилые зоны |
|
653,25 |
3 |
– |
|
|
Объекты местного значения муниципального района: дошкольное образовательное учреждение на 55 мест в селе Домашка в центральной части на площадке N 1; общеобразовательное учреждение (начального общего, основного общего, среднего (полного) общего образования) в селе Домашка в центральной части села по ул. Домашкинской, 4 (реконструкция, 611 мест) Объекты местного значения сельского поселения: комплектная трансформаторная подстанция в селе Домашка на площадке N 1 (мощность – 1Х60 кВА, ТП – 10/0,4 кВ). две комплектные трансформаторные подстанции в селе Домашка на площадке N 1 (мощность – 1Х100 кВА, ТП – 10/0,4 кВ); комплектная трансформаторная подстанция в селе Домашка на площадке N 2 (мощность – 1Х100 кВА, ТП – 10/0,4 кВ); комплектная трансформаторная подстанция в селе Домашка на площадке N 5 (мощность – 1Х100 кВА, ТП – 10/0,4 кВ); комплектная трансформаторная подстанция в селе Домашка по ул. Большой (мощность – 1Х100 кВА, ТП – 10/0,4 кВ); две комплектные трансформаторные подстанции в селе Парфёновка на площадке N 1 (мощность – 1Х100 кВА, ТП – 10/0,4 кВ); две комплектные трансформаторные подстанции в поселке Крестьянский на площадке N 1 (мощность – 1Х100 кВА, ТП – 10/0,4кВ); комплектная трансформаторная подстанция в поселке Крестьянский на площадке N 1 (мощность – 1Х160 кВА, ТП – 10/0,4 кВ); две комплектные трансформаторные подстанции в селе Парфеновка на площадке N 1 (мощность – 1Х100 кВА, ТП – 10/0,4 кВ); газорегуляторный пункт в поселке Нижненикольский по ул. Лесной; газорегуляторный пункт в поселке Нижненикольский по ул. Мичурина; газорегуляторный пункт в поселке Нижненикольский по пер. Заливной |
|||
|
Развитие жилой зоны до 2035 года в селе Домашка планируется на следующих площадках: на площадке N 1, расположенной в северо-западной части поселка, общей площадью 14,4 га; на площадке N 2, расположенной в южной части поселка, в районе по ул. Шевченковской, общей площадью 5,7 га; на площадке N 3, расположенной в юго-западной части села, в квартале севернее по ул. Рабочей, общей площадью 12,3 га; на площадке N 4, расположенной в южной части села, в квартале западнее по ул. Крестьянской, общей площадью 9,1 га; на площадке N 5, расположенной в южной части села, в квартале восточнее по ул. Крестьянской, общей площадью 3,4 га; на площадке в существующей застройке, расположенной между ул. Шевченковской и ул. Зеленой, общей площадью 0,6 га Развитие жилой зоны до 2035 года в селе Парфеновка планируется на следующих площадках: на площадке N 1, расположенной в северной части села, общей площадью 13,85 га Развитие жилой зоны до 2035 года в поселке Крестьянский планируется на следующих площадках: на площадке N 1, расположенной в юго-западной части поселка, общей площадью 39,8 га |
||||
|
Общественно-деловые зоны |
– |
25,26 |
4 |
– |
|
|
Объекты местного значения муниципального района: здание поликлинического отделения с пунктом скорой помощи на 30 посещений в смену в селе Домашка в центральной части на площадке N 1; фельдшерско-акушерский пункт в селе Парфёновка в центральной части села по ул. Революции, 4 (реконструкция, 15 посещений в смену) Объекты местного значения сельского поселения: здание клуба в селе Домашка, в центральной части села по пер. Школьному, 5 (реконструкция, увеличение на 500 мест с размещением подросткового клуба); культурно-досуговый центр в селе Парфёновка, в центральной части села по ул. Центральной, 2 (реконструкция, увеличение на 200 мест с размещением подросткового клуба); физкультурно-спортивный комплекс в селе Домашка, в центральной части села район по ул. Домашкинской с универсальным залом площадью 540 кв. м; комплектная трансформаторная подстанция в селе Парфеновка на площадке N 1 (мощность – 1Х160 кВА, ТП – 10/0,4 кВ). церковь |
|||
|
Зоны сельскохозяйственного использования |
|
22356,92 |
3 |
50 |
|
Производственные зоны, зоны инженерной и транспортной инфраструктур |
|
473,31 |
2 |
100 |
|
|
Объекты местного значения сельского поселения: канализационные очистные сооружения за южной границей села Домашка (производительность – 400 куб. м/сут); водозабор в посёлке Крестьянский на площадке N 1; комплектная трансформаторная подстанция в селе Домашка на площадке N 1 (мощность – 1Х160 кВА, ТП – 10/0,4 кВ); водонапорная башня в поселке Крестьянский на площадке N 1; газорегуляторный пункт в поселке Крестьянский на юго-востоке поселка; пожарный пирс площадью 150 кв. м в селе Парфёновка, в северо-западной части села на берегу р. Домашки (реконструкция); газорегуляторный пункт в поселке Крестьянский, за границей села в северо-восточной части (тип – шкафной, производительность – до 100 куб. м/час); газорегуляторный пункт в поселке Нижненикольский на востоке поселка; недропользование |
|||
|
Зоны рекреационного назначения |
|
183,12 |
3 |
|
|
|
Объекты местного значения сельского поселения: пожарный пирс площадью 150 кв. м в селе Домашка, в восточной части села на берегу р. Самары в районе ул. Советской; плоскостное спортивное сооружение (футбольное поле) площадью 1,4 га в селе Домашка в центральной части села, в районе ул. Самарской (реконструкция); плоскостное спортивное сооружение (футбольное поле) площадью 1 га в селе Парфёновка, в северной части села (реконструкция); плоскостное спортивное сооружение площадью 540 кв. м в селе Парфёновка в северной части на площадке N 1; зона отдыха в селе Домашка; зона отдыха в селе Парфёновка; зона отдыха в поселке Крестьянский |
|||
|
Зоны специального назначения |
|
50,74 |
|
50 |
|
|
Объекты местного значения сельского поселения: кладбище в западной части села Домашка (реконструкция, увеличение на 3 га). |
|||




















































































