Постановление Правительства Самарской области от 16.02.2026 N 67 "О внесении изменений в Генеральный план сельского поселения Долматовка муниципального района Борский Самарской области"
ПРАВИТЕЛЬСТВО САМАРСКОЙ ОБЛАСТИ
ПОСТАНОВЛЕНИЕ
от 16 февраля 2026 г. N 67
О внесении изменений в Генеральный план сельского поселения Долматовка
муниципального района Борский Самарской области
В соответствии c Градостроительным кодексом Российской Федерации, законами Самарской области «О градостроительной деятельности на территории Самарской области», «О перераспределении полномочий между органами местного самоуправления и органами государственной власти Самарской области в сферах градостроительной деятельности и рекламы на территории Самарской области» Правительство Самарской области ПОСТАНОВЛЯЕТ:
1. Внести в Генеральный план сельского поселения Долматовка муниципального района Борский Самарской области, утверждённый решением Собрания представителей сельского поселения Долматовка муниципального района Борский Самарской области от 28.11.2013 N 102, следующие изменения:
положение о территориальном планировании сельского поселения Долматовка муниципального района Борский Самарской области изложить в редакции согласно приложению 1 к настоящему постановлению;
карту границ населенных пунктов, входящих в состав сельского поселения Долматовка муниципального района Борский Самарской области (М 1:25000), изложить в редакции согласно приложению 2 к настоящему постановлению;
карту функциональных зон сельского поселения Долматовка муниципального района Борский Самарской области (М 1:25000) изложить в редакции согласно приложению 3 к настоящему постановлению;
карту планируемого размещения объектов местного значения сельского поселения Долматовка муниципального района Борский Самарской области (М 1:10000) изложить в редакции согласно приложению 4 к настоящему постановлению;
карту планируемого размещения объектов инженерной инфраструктуры местного значения сельского поселения Долматовка муниципального района Борский Самарской области (М 1:10000) изложить в редакции согласно приложению 5 к настоящему постановлению;
графические описания местоположения границ населенных пунктов, входящих в состав сельского поселения Долматовка муниципального района Борский Самарской области, изложить в редакции согласно приложению 6 к настоящему постановлению.
2. Министерству градостроительной политики Самарской области обеспечить доступ к утверждённому Генеральному плану сельского поселения Долматовка муниципального района Борский Самарской области в федеральной государственной информационной системе территориального планирования в срок, не превышающий десяти дней со дня вступления в силу настоящего постановления.
3. Контроль за выполнением настоящего постановления возложить на министерство градостроительной политики Самарской области.
4. Опубликовать настоящее постановление в средствах массовой информации.
5. Настоящее постановление вступает в силу со дня его официального опубликования.
Первый
заместитель Губернатора
Самарской области –
председатель Правительства
Самарской области В.А. Шабалатов
ПРИЛОЖЕНИЕ 1
к постановлению Правительства
Самарской области
от 16 февраля 2026 г. N 67
ПОЛОЖЕНИЕ
о территориальном планировании сельского поселения Долматовка
муниципального района Борский Самарской области
1. Общие положения
1.1. В соответствии с градостроительным законодательством Российской Федерации Генеральный план сельского поселения Долматовка муниципального района Борский Самарской области (далее – Генеральный план) является документом территориального планирования муниципального образования. Генеральным планом определено, исходя из совокупности социальных, экономических, экологических и иных факторов, назначение территорий сельского поселения Долматовка муниципального района Борский Самарской области в целях обеспечения их устойчивого развития, развития инженерной, транспортной и социальной инфраструктур, обеспечения учета интересов граждан и их объединений, субъектов Российской Федерации, муниципальных образований.
1.2. Генеральный план разработан в соответствии с Конституцией Российской Федерации, Градостроительным кодексом Российской Федерации, Земельным кодексом Российской Федерации, Федеральным законом «Об общих принципах организации законодательных (представительных) и исполнительных органов государственной власти субъектов Российской Федерации», иными федеральными законами и нормативными правовыми актами Российской Федерации, законами и иными нормативными правовыми актами Самарской области, уставом сельского поселения Долматовка муниципального района Борский Самарской области, иными нормативными правовыми актами сельского поселения Долматовка муниципального района Борский Самарской области.
1.3. При осуществлении территориального планирования сельского поселения Долматовка учтены интересы Российской Федерации, Самарской области, муниципального района Борский по реализации полномочий федеральных органов государственной власти, органов государственной власти Самарской области и органов местного самоуправления муниципального района Борский, а также необходимость создания благоприятных условий для реализации на территории Самарской области приоритетных национальных проектов, федеральных и областных целевых программ, программ развития муниципального района Борский.
1.4. Генеральный план разработан в соответствии со Стратегией социально-экономического развития Самарской области на период до 2030 года, утвержденной постановлением Правительства Самарской области от 12.07.2017 N 441, планами и программами комплексного социально-экономического развития муниципального района Борский и сельского поселения Долматовка.
1.5. При подготовке Генерального плана учтены:
программы, принятые в установленном порядке и реализуемые за счет средств федерального бюджета, бюджета Самарской области, бюджета муниципального района Борский, бюджета сельского поселения Долматовка;
решения органов государственной власти, органов местного самоуправления, иных главных распорядителей средств соответствующих бюджетов, предусматривающие создание на территории сельского поселения Долматовка объектов федерального значения, объектов регионального значения, объектов местного значения;
инвестиционные программы субъектов естественных монополий, организаций коммунального комплекса;
сведения, содержащиеся в федеральной государственной информационной системе территориального планирования;
Схема территориального планирования Самарской области, утвержденная постановлением Правительства Самарской области от 13.12.2007 N 261;
Схема территориального планирования муниципального района Борский Самарской области, утвержденная решением Собрания представителей муниципального района Борский Самарской области от 28.12.2009 N 329;
предложения заинтересованных лиц.
1.6. Генеральный план включает:
положение о территориальном планировании сельского поселения Долматовка муниципального района Борский Самарской области;
карту границ населённых пунктов, входящих в состав сельского поселения Долматовка муниципального района Борский Самарской области (М 1:25 000);
карту функциональных зон сельского поселения Долматовка муниципального района Борский Самарской области (М 1:25 000);
карты планируемого размещения объектов местного значения сельского поселения Долматовка муниципального района Борский Самарской области (М 1:10000).
1.7. Положение о территориальном планировании сельского поселения Долматовка муниципального района Борский Самарской области включает:
сведения о видах, назначении и наименованиях планируемых для размещения объектов местного значения сельского поселения Долматовка, их основные характеристики, их местоположение (для объектов местного значения, не являющихся линейными объектами, указываются функциональные зоны), а также характеристики зон с особыми условиями использования территорий в случае, если установление таких зон требуется в связи с размещением данных объектов;
параметры функциональных зон, а также сведения о планируемых для размещения в них объектах федерального значения, объектах регионального значения, объектах местного значения муниципального района Борский, объектов местного значения сельского поселения Долматовка, за исключением линейных объектов.
1.8. Карты планируемого размещения объектов местного значения сельского поселения Долматовка включают:
карту планируемого размещения объектов местного значения сельского поселения Долматовка муниципального района Борский Самарской области (М 1:10 000);
карту планируемого размещения объектов инженерной инфраструктуры местного значения сельского поселения Долматовка муниципального района Борский Самарской области (М 1:10 000).
1.9. На картах планируемого размещения объектов местного значения сельского поселения Долматовка отображаются планируемые для размещения объекты местного значения – объекты капитального строительства, иные объекты, территории, которые необходимы для осуществления органами местного самоуправления сельского поселения Долматовка полномочий по вопросам местного значения сельского поселения и в пределах переданных государственных полномочий в соответствии с федеральными законами, законами Самарской области, уставом сельского поселения Долматовка и оказывают существенное влияние на социально-экономическое развитие сельского поселения Долматовка. Для отображения планируемого размещения линейных объектов, расположенных за границами населенных пунктов, могут применяться как карты планируемого размещения объектов местного значения сельского поселения Долматовка муниципального района Борский Самарской области (М 1:10 000), так и карта функциональных зон сельского поселения Долматовка муниципального района Борский Самарской области (М 1:25 000).
1.10. Функциональное зонирование территории отображено на картах Генерального плана в соответствии с Требованиями к описанию и отображению в документах территориального планирования объектов федерального значения, объектов регионального значения, объектов местного значения, утвержденными приказом Министерства экономического развития Российской Федерации от 09.01.2018 N 10 (далее – Приказ). Для определения границ функциональных зон может применяться как карта функциональных зон сельского поселения Долматовка муниципального района Борский Самарской области (М 1:25 000), так и карты планируемого размещения объектов местного значения сельского поселения Долматовка муниципального района Борский Самарской области (М 1:10 000).
1.11. Виды объектов местного значения сельского поселения Долматовка, отображенных на картах планируемого размещения объектов местного значения сельского поселения Долматовка, соответствуют требованиям Градостроительного кодекса Российской Федерации и части 2.1 статьи 5 Закона Самарской области «О градостроительной деятельности на территории Самарской области».
Отображение объектов на картах Генерального плана выполнено в соответствии с требованиями Приказа.
1.12. Реализация Генерального плана осуществляется путем выполнения мероприятий, которые предусмотрены программами, утверждаемыми администрацией сельского поселения Долматовка, и реализуемыми за счет средств местного бюджета, или нормативными правовыми актами администрации сельского поселения Долматовка, программами комплексного развития систем коммунальной инфраструктуры поселения, программами комплексного развития транспортной инфраструктуры поселения, программами комплексного развития социальной инфраструктуры поселения и (при наличии) инвестиционными программами организаций коммунального комплекса. Указанные мероприятия могут включать:
подготовку и утверждение документации по планировке территории в соответствии с Генеральным планом;
принятие в порядке, установленном законодательством Российской Федерации, решений о резервировании земель, об изъятии, в том числе путем выкупа, земельных участков для муниципальных нужд, о переводе земель или земельных участков из одной категории в другую;
создание объектов местного значения сельского поселения Долматовка на основании документации по планировке территории.
1.13. В случае если программы, реализуемые за счет средств бюджета сельского поселения Долматовка, решения органов местного самоуправления сельского поселения Долматовка, иных главных распорядителей средств бюджета сельского поселения Долматовка, предусматривающие создание объектов местного значения сельского поселения Долматовка, инвестиционные программы субъектов естественных монополий, организаций коммунального комплекса, приняты до утверждения Генерального плана и предусматривают создание объектов местного значения сельского поселения Долматовка, подлежащих отображению в Генеральном плане, но не предусмотренных Генеральным планом, или в случае внесения в Генеральный план изменений в части размещения объектов местного значения такие программы и решения подлежат приведению в соответствие с Генеральным планом в двухмесячный срок соответственно с даты их утверждения, даты внесения в них изменений.
1.14. В случае если программы, реализуемые за счет средств бюджета сельского поселения Долматовка, решения органов местного самоуправления сельского поселения Долматовка, предусматривающие создание объектов местного значения сельского поселения Долматовка, инвестиционные программы субъектов естественных монополий, организаций коммунального комплекса принимаются после утверждения Генерального плана и предусматривают создание объектов местного значения сельского поселения Долматовка, подлежащих отображению в Генеральном плане, но не предусмотренных Генеральным планом, в Генеральный план в пятимесячный срок с даты утверждения таких программ и принятия таких решений вносятся соответствующие изменения.
1.15. В случае если в Генеральный план внесены изменения, предусматривающие строительство или реконструкцию объектов коммунальной, транспортной, социальной инфраструктур, которые являются объектами местного значения и не включены в программы комплексного развития систем коммунальной инфраструктуры поселения, программы комплексного развития транспортной инфраструктуры поселения, программы комплексного развития социальной инфраструктуры поселения, данные программы подлежат приведению в соответствие с Генеральным планом в трехмесячный срок с даты внесения соответствующих изменений в Генеральный план.
1.16. Указанные в настоящем Положении характеристики планируемых для размещения объектов местного значения сельского поселения Долматовка (площадь, протяженность, количество мест и иные) являются ориентировочными и подлежат уточнению в документации по планировке территории и в проектной документации на соответствующие объекты.
1.17. Вновь построенные, прошедшие реконструкцию или капитальный ремонт объекты должны соответствовать требованиям доступности для маломобильных групп населения (в том числе инвалидов-колясочников, инвалидов по слуху и зрению).
1.18. Характеристики зон с особыми условиями использования территории планируемых объектов местного значения сельского поселения Долматовка, в случае если установление таких зон требуется в связи с размещением данных объектов, определены в соответствии с законодательством Российской Федерации, действовавшим на момент подготовки Генерального плана.
Размеры санитарно-защитных зон планируемых объектов местного значения сельского поселения Долматовка, являющихся источниками воздействия на среду обитания, определены в соответствии с СанПиН 2.2.1/2.1.1.1200-03 «Санитарно-защитные зоны и санитарная классификация предприятий, сооружений и иных объектов», утвержденными постановлением Главного государственного санитарного врача Российской Федерации от 25.09.2007 N 74 (далее также – СанПиН 2.2.1/2.1.1.1200-03).
Размеры санитарно-защитных зон планируемых объектов местного значения сельского поселения Долматовка, являющихся источниками воздействия на среду обитания, для которых СанПиН 2.2.1/2.1.1.1200-03 не установлены размеры санитарно-защитной зоны и рекомендуемые разрывы, а также размеры санитарно-защитных зон планируемых объектов местного значения сельского поселения Долматовка IV – V класса опасности определяются проектами ориентировочного размера санитарно-защитной зоны соответствующих объектов.
1.19. Применение отображенных на картах материалов по обоснованию Генерального плана зон с особыми условиями использования территории осуществляется с учетом положений Земельного кодекса Российской Федерации о том, что установление, изменение, прекращение существования зоны с особыми условиями использования территории осуществляются на основании решения уполномоченного органа государственной власти, органа местного самоуправления и положений статьи 26 Федерального закона «О внесении изменений в Градостроительный кодекс Российской Федерации и отдельные законодательные акты Российской Федерации».
Ограничения использования земельных участков в зонах с особыми условиями использования территорий считаются установленными или измененными со дня внесения сведений в Единый государственный реестр недвижимости.
Определенные в соответствии с требованиями законодательства в области обеспечения санитарно-эпидемиологического благополучия населения и отображенные на картах материалов по обоснованию Генерального плана ориентировочные, расчетные (предварительные) санитарно-защитные зоны применяются в порядке, установленном статьей 26 Федерального закона «О внесении изменений в Градостроительный кодекс Российской Федерации и отдельные законодательные акты Российской Федерации».
1.20. Отображение на картах Генерального плана планируемых для размещения объектов федерального значения, объектов регионального значения, объектов местного значения муниципального района Борский не определяет их местоположение, а осуществляется в целях определения функциональных зон их размещения.
1.21. Отображение на картах Генерального плана существующих и планируемых объектов, не являющихся объектами федерального значения, объектами регионального значения, объектами местного значения, осуществляется в информационных целях.
2. Сведения о видах, назначении и наименованиях планируемых для размещения объектов местного значения
сельского поселения Долматовка муниципального района Борский Самарской области, их основные
характеристики и местоположение
2.1. Объекты местного значения в сфере физической культуры и массового спорта
|
N п/п |
Назначение и наименование объекта |
Местоположение объекта |
Вид работ, который планируется в целях размещения объекта |
Срок, до которого планируется размещение объекта, годы |
Основные характеристики объекта |
Характеристики зон с особыми условиями использования территорий |
||
|
площадь земельного участка, га |
площадь объекта, га |
иные характеристики |
||||||
|
1. |
Плоскостные спортивные сооружения |
село Долматовка, ул. Молодежная |
Реконструкция |
2033 |
|
1,05 |
|
Установление зон с особыми условиями использования территорий в связи с размещением объекта не требуется |
|
2. |
Спортивно-оздоровительный центр |
село Долматовка, ул. Молодежная |
Строительство |
2033 |
|
|
Универсальный зал (площадь 540 кв. м), зал на 50 мест |
|
|
3. |
Плоскостное физкультурно-спортивное сооружение |
село Неприк, ул. Цветочная |
Строительство |
2033 |
|
0,2 |
Футбольное поле |
|
2.2. Объекты местного значения в сфере создания условий для массового отдыха жителей
и организации обустройства мест массового отдыха населения
|
N п/п |
Назначение и наименование объекта |
Местоположение объекта |
Вид работ, который планируется в целях размещения объекта |
Срок, до которого планируется размещение объекта, годы |
Основные характеристики объекта |
Характеристики зон с особыми условиями использования территорий |
||
|
площадь земельного участка, га |
площадь объекта, га |
иные характеристики |
||||||
|
1. |
Парк |
село Долматовка, ул. Молодежная |
Строительство |
2033 |
|
1,1 |
|
Установление зон с особыми условиями использования территорий в связи с размещением объекта не требуется |
2.3. Объекты местного значения в сфере создания условий для обеспечения жителей поселения услугами
бытового обслуживания
|
N п/п |
Назначение и наименование объекта |
Местоположение объекта |
Вид работ, который планируется в целях размещения объекта |
Срок, до которого планируется размещение объекта, годы |
Основные характеристики объекта |
Характеристики зон с особыми условиями использования территорий |
||
|
площадь земельного участка, га |
площадь объекта, кв. м |
иные характеристики |
||||||
|
1. |
Предприятие коммунально-бытового обслуживания |
село Долматовка, ул. Молодежная |
Строительство |
2033 |
|
|
Прачечная на 50 кг белья в смену, баня на 15 мест, химчистка на 4 кг белья в смену |
В соответствии с СанПиН 2.2.1/2.1.1.1200-03 ориентировочный размер санитарно-защитной зоны объекта – 100 м |
2.4. Объекты местного значения в сфере водоснабжения
|
N п/п |
Назначение и наименование объекта |
Местоположение объекта |
Вид работ, который планируется в целях размещения объекта |
Срок, до которого планируется размещение объекта, годы |
Основные характеристики объекта |
Характеристики зон с особыми условиями использования территорий |
|||
|
протяженность, км |
иные характеристики |
||||||||
|
1. |
Водопроводные сети |
село Долматовка, в том числе: |
Строительство |
2033 |
|
|
В соответствии с СанПиН 2.1.4.1110-02 ширину санитарно-защитной полосы следует принимать по обе стороны от крайних линий водопровода: при отсутствии грунтовых вод – не менее 10 м при диаметре водоводов до 1000 мм и не менее 20 м при диаметре водоводов более 1000 мм; при наличии грунтовых вод – не менее 50 м вне зависимости от диаметра водоводов |
||
|
по ул. Молодежной, |
|
|
|||||||
|
по ул. Центральной, |
0,327 |
|
|||||||
|
на площадке N 1 |
2,82 |
|
|||||||
|
2. |
Водопровод-ные сети |
село Долматовка, в том числе: |
Строительство |
2033 |
|
|
|||
|
на площадке N 2, |
1,833 |
|
|||||||
|
на площадке N 3 |
1,845 |
|
|||||||
|
3. |
Водозабор |
село Долматовка, в том числе: |
Реконструкция |
2033 |
- |
|
В соответствии с СанПиН 2.1.4.1110-02 радиус 1-го пояса ЗСО от 30 до 50 м в зависимости от |
||
|
в центре села, |
|
Увеличение производительности на 147 куб. м |
|||||||
|
|
|
на севере села |
|
|
|
Увеличение производительности на 147 куб. м |
защищенности подземных вод. Размеры 2-го и 3-го поясов ЗСО определяются на основании гидрогеологических расчетов |
||
|
4. |
Водозабор |
север села Неприк |
Реконструкция |
2033 |
|
Увеличение производительности на 174 куб. м |
|||
2.5. Объекты местного значения в сфере газоснабжения
|
N п/п |
Назначение и наименование объекта |
Местоположение объекта |
Вид работ, который планируется в целях размещения объекта |
Срок, до которого планируется размещение объекта, годы |
Основные характеристики объекта |
Характеристики зон с особыми условиями использования территорий |
|
|
протяженность, км |
иные характеристики |
||||||
|
1. |
Газопровод низкого давления |
село Долматовка, в том числе: |
Строительство |
2033 |
|
|
В соответствии с Правилами охраны газораспределительных сетей, утвержденными постановлением Правительства Российской |
|
на площадке N 1, |
2,23 |
|
|||||
|
на ул. Центральной |
0,33 |
|
|||||
|
2. |
Газопровод низкого давления |
село Неприк, в том числе: |
Строительство |
2033 |
|
|
Федерации от 20.11.2000 N 878, вдоль трасс наружных газопроводов охранные зоны |
|
на площадке N 2, |
1,73 |
|
|||||
|
на площадке N 3 |
1,23 |
|
|||||
|
3. |
Газопровод высокого давления |
село Долматовка, на площадке N 1 |
Строительство |
2033 |
0,44 |
|
|
|
4. |
Газопровод высокого давления |
село Неприк, на площадке N 2 |
Строительство |
2033 |
0,6 |
|
|
|
5. |
Шкафной газорегуляторный пункт (ШГРП) |
село Долматовка, на площадке N 1 |
Строительство |
2033 |
|
Производительность – до 255 куб. м/час |
В соответствии с Правилами охраны газораспределительных сетей, утвержденными постановлением Правительства Российской Федерации от 20.11.2000 N 878, охранная зона устанавливается в виде территории, ограниченной замкнутой |
|
6. |
Шкафной газорегуляторный пункт (ШГРП) |
село Неприк, на площадке N 2 |
Строительство |
2033 |
|
Производительность – до 245 куб. м/час |
линией, проведенной на расстоянии 10 метров от границ объекта |
2.6. Объекты местного значения в сфере электроснабжения
|
N п/п |
Назначение и наименование объекта |
Местоположение объекта |
Вид работ, который планируется в целях размещения объекта |
Срок, до которого планируется размещение объекта, годы |
Основные характеристики объекта |
Характеристики зон с особыми условиями использования территорий |
|
|
протяженность, км |
иные характеристики |
||||||
|
1. |
Комплектные трансформа-торные подстанции |
село Неприк, в том числе: |
Строительство |
2033 |
|
|
В соответствии с СанПиН 2.2.1/2.1.1.1200-03 размер санитарно-защитной зоны устанавливается в зависимости от типа (открытые, закрытые), мощности на основании |
|
на площадке N 2, |
|
ТП-10/04 кВ, мощность – 1х160 кВА |
|||||
|
на площадке N 3
|
|
ТП-10/04 кВ, мощность – 1х100 кВА |
|||||
|
2. |
Комплектные трансформаторные подстанции |
село Долматовка, |
|
|
|
|
расчетов физического воздействия на атмосферный воздух, а также результатов натурных измерений |
|
на площадке N 1,
|
Строительство |
2033 |
|
ТП-10/04 кВ, мощность – 1х160 кВА |
|||
|
по ул. Молодежной, |
Строительство |
2033 |
|
ТП-10/0,4кВ 1 Х 400 кВА – 1шт |
|||
|
по ул. Молодежной |
Реконструкция |
2033 |
|
ТП-10/04 кВ, мощность – 1х160 кВА |
|||
|
3. |
Воздушные линии электропередачи |
село Неприк, в том числе: |
Строительство |
2033 |
|
|
В соответствии с Правилами установления охранных зон объектов электросетевого хозяйства и особых условий использования земельных участков, расположенных в границах таких зон, утвержденными постановлением Правительства Российской Федерации от 24.02.2009 N 160, размер охранной зоны – 10 м по обе стороны от крайних проводов (5 м – для линий с самонесущими или изолированными проводами, размещенных в границах населенных пунктов) |
|
на площадке N 2, |
0,2 |
Напряжение – 10 кВ |
|||||
|
на площадке N 3 |
0,6 |
Напряжение – 10 кВ |
|||||
|
4. |
Воздушные линии электропередачи |
село Долматовка, в том числе:
на площадке N 1, |
Строительство |
2033 |
0,05 |
Напряжение – 10 кВ |
|
|
по ул. Молодежной |
0,05 |
Напряжение – 10 кВ |
|||||
2.7. Объекты местного значения в сфере обеспечения жителей поселения услугами связи
|
N п/п |
Назначение и наименование объекта |
Местоположение объекта |
Вид работ, который планируется в целях размещения объекта |
Срок, до которого планируется размещение объекта, годы |
Основные характеристики объекта |
Характеристики зон с особыми условиями использования территорий |
|
|
протяженность, км |
иные характеристики |
||||||
|
1. |
Шкафы распределительные |
село Долматовка, на площадке N 1 |
Строительство |
2033 |
|
Тип – ШР 300 |
Установление зон с особыми условиями использования территорий в связи с размещением объекта не требуется |
|
2. |
Ящик кабельный |
село Долматовка, ул. Молодежная |
Строительство |
2033 |
|
Тип – ЯКГ 20 |
|
|
3. |
Кабель связи |
село Долматовка, ул. Молодежная, площадка N 1 |
Строительство |
2033 |
4 |
|
|
|
4. |
Автоматическая телефонная станция |
село Долматовка, ул. Молодежная, 35 б |
Реконструкция |
2033 |
|
Увеличение емкости на 100 номеров |
|
2.8. Объекты местного значения в сфере транспортной инфраструктуры
|
N п/п |
Назначение и наименование объекта |
Местоположение объекта |
Вид работ, который планируется в целях размещения объекта |
Срок, до которого планируется размещение объекта, годы |
Основные характеристики объекта |
Характеристики зон с особыми условиями использования территорий |
|
|
протяженность, км |
иные характеристики |
||||||
|
1. |
Улицы и автомобильные дороги местного значения
|
село Долматовка, в том числе: |
Строительство |
2033
|
2,7 |
|
Установление зон с особыми условиями использования территорий в связи с размещением объекта не требуется
|
|
на площадке N 1, |
0,6 |
Основные улицы |
|||||
|
2,1 |
Второстепенные улицы |
||||||
|
в существующей застройке |
0,8 |
Главные улицы |
|||||
|
5,2 |
Основные улицы |
||||||
|
0,6 |
Второстепенные улицы |
||||||
|
2. |
Улицы и автомобильные дороги местного значения
|
село Неприк, в том числе: |
Строительство |
2033
|
|
|
|
|
на площадке N 2, |
1,3 |
Второстепенные улицы |
|||||
|
на площадке N 3, |
0,7 |
Основные улицы |
|||||
|
2,3 |
Второстепенные улицы |
||||||
|
в существующей застройке |
Строительство |
2033
|
0,5
|
Поселковые улицы Главные улицы |
|||
|
0,5 |
|||||||
|
3 |
Основные улицы |
||||||
2.9 Объекты местного значения в сфере организации ритуальных услуг
и содержания мест захоронения
|
N п/п |
Назначение и наименование объекта |
Местоположение объекта |
Вид работ, который планируется в целях размещения объекта |
Срок, до которого планируется размещение объекта, годы |
Основные характеристики объекта |
Характеристики зон с особыми условиями использования территорий |
||
|
площадь земельного участка |
площадь объекта, га |
иные характеристики |
||||||
|
1. |
Кладбище |
на юго-востоке за границей села Долматовка |
Строительство |
2023 |
|
0,5 |
|
В соответствии с СанПиН 2.2.1/2.1.1.1200-03 ориентировочный размер санитарно-защитной зоны объекта – 50 м |
3. Параметры функциональных зон, а также сведения о планируемых для размещения в них объектах
регионального значения, объектах местного значения муниципального района Борский, объектах местного
значения сельского поселения Долматовка, за исключением линейных объектов
|
Вид зоны |
Площадь, га |
Коэффициент застройки |
Коэффициент плотности застройки |
Плотность населения, чел./га |
|||
|
Жилые зоны |
298,9323 |
0,2-0,3 |
0,4-0,6 |
15 |
|||
|
|
Объекты местного значения муниципального района: дошкольное образовательное учреждение на 50 мест в селе Долматовка по ул. Молодежной Объекты местного значения сельского поселения: парк в селе Долматовка по ул. Молодежной; шкафной газорегуляторный пункт (ШГРП) в селе Долматовка на площадке N 1; шкафной газорегуляторный пункт (ШГРП) в селе Неприк на площадке N 2; комплектные трансформаторные подстанции в селе Неприк на площадке N 2; комплектные трансформаторные подстанции в селе Неприк на площадке N 3; комплектные трансформаторные подстанции в селе Долматовка на площадке N 1; шкафы распределительные в селе Долматовка на площадке N 1; ящик кабельный в селе Долматовка по ул. Молодежной |
||||||
|
Развитие жилой зоны до 2033 года в селе Долматовка планируется на следующих площадках: на свободных территориях в границах населенного пункта: на площадке N 1, расположенной в южной части села, общей площадью территории – 18,21 га (планируется размещение 99 участков для индивидуального жилищного строительства, ориентировочная общая площадь жилищного фонда – 14850 кв. м, расчётная численность населения – 297 человек); за счет уплотнения существующей застройки: на площадке по ул. Центральной общей площадью территории – 1,96 га (планируется размещение 12 участков для индивидуального жилищного строительства, ориентировочная общая площадь жилищного фонда – 1800 кв. м, расчётная численность населения – 36 человек). Развитие жилой зоны до 2033 года в селе Неприк планируется на следующих площадках: на свободных территориях в границах населенного пункта: на площадке N 2, расположенной в западной части села, общей площадью территории – 21,4 га (планируется размещение 95 участков для индивидуального жилищного строительства, ориентировочная общая площадь жилищного фонда – 14250 кв. м, расчётная численность населения – 285 человек); |
|||||||
|
на площадке N 3, расположенной в северо-восточной части села, общей площадью территории – 12,3 га (планируется размещение 50 участков для индивидуального жилищного строительства, ориентировочная общая площадь жилищного фонда – 7500 кв. м, расчётная численность населения – 150 человек). |
|||||||
|
Общественно-деловые зоны |
2,6744 |
0,8-1 |
2,4-3 |
|
|||
|
|
Объекты местного значения муниципального района: фельдшерско-акушерский пункт в селе Неприк по ул. Садовой, 24а (реконструкция) Объекты местного значения сельского поселения: комплектные трансформаторные подстанции в селе Долматовка по ул. Молодежной; предприятие коммунально-бытового обслуживания в селе Долматовка по ул. Молодежной; автоматическая телефонная станция в селе Долматовка по ул. Молодежной, 35б (реконструкция). |
||||||
|
Производственная зона |
14,4769 |
0,8* |
2,4* |
|
|||
|
Производственные зоны, зоны инженерной и транспортной инфраструктур |
58,1536 |
0,8* |
2,4* |
|
|||
|
|
Объекты местного значения сельского поселения: водозабор в селе Долматовка на севере села (реконструкция) |
||||||
|
Зоны сельскохозяйственного использования |
11604,9964 |
0,8** |
2,4** |
|
|||
|
|
Объекты местного значения сельского поселения: водозабор в селе Долматовка в центре села (реконструкция); комплектные трансформаторные подстанции в селе Долматовка по ул. Молодежной (реконструкция) |
||||||
|
Зоны рекреационного назначения |
1129,91 |
|
|
|
|||
|
|
Объекты местного значения сельского поселения: плоскостные спортивные сооружения в селе Долматовка по ул. Молодежной (реконструкция); спортивно–оздоровительный центр в селе Долматовка по ул. Молодежной; плоскостное физкультурно-спортивное сооружение в селе Неприк, по ул. Цветочной |
||||||
|
Зоны специального назначения |
2,723 |
|
|
|
|||
|
|
Объекты регионального значения: скотомогильник (яма Беккари) на расстоянии 1150 м от границы села Долматовка в северо-восточном направлении Объекты местного значения сельского поселения: кладбище на юго-востоке за границей села Долматовка. |
||||||
_____________________
|
* Для промышленных предприятий минимальную плотность застройки (%) принимать в соответствии с СП 18.13330.2019. «Производственные объекты. Планировочная организация земельного участка» (СНиП II-89-80* «Генеральные планы промышленных предприятий»), утвержденными и введенными в действие приказом Минстроя России от 17.09.2019 N 544/пр. ** Для сельскохозяйственных предприятий минимальную плотность застройки (%) принимать в соответствии с СП 19.13330.2019 «Сельскохозяйственные предприятия. Планировочная организация земельного участка» (СНиП II-97-76* «Генеральные планы сельскохозяйственных предприятий»), утвержденными и введенными в действие приказом Минстроя России от 14.10.2019 N 620/пр. |




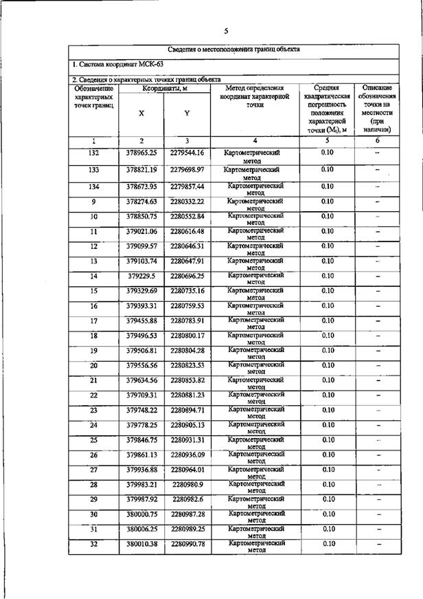
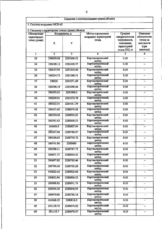
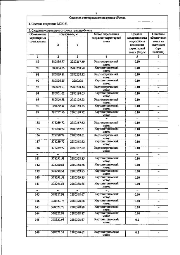
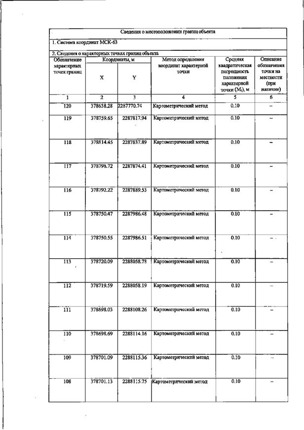
ПРИЛОЖЕНИЕ 6
к постановлениюПравительства
Самарской области
от 16 февраля 2026 г. N 67
Графические описания
местоположения границ населенных пунктов, входящих в состав сельского
поселения Долматовка муниципального района Борский
Самарской области






















