Постановление Правительства Самарской области от 15.09.2025 N 546 "О внесении изменений в Генеральный план сельского поселения Летниково муниципального района Алексеевский Самарской области"
ПРАВИТЕЛЬСТВО САМАРСКОЙ ОБЛАСТИ
ПОСТАНОВЛЕНИЕ
от 15 сентября 2025 N 546
О внесении изменений в Генеральный план сельского поселения Летниково
муниципального района Алексеевский Самарской области
В соответствии Градостроительным кодексом Российской Федерации, законами Самарской области «О градостроительной деятельности на территории Самарской области», «О перераспределении полномочий между органами местного самоуправления и органами государственной власти Самарской области в сферах градостроительной деятельности и рекламы на территории Самарской области» Правительство Самарской области ПОСТАНОВЛЯЕТ:
1. Внести в Генеральный план сельского поселения Летниково муниципального района Алексеевский Самарской области, утверждённый решением Собрания представителей сельского поселения Летниково муниципального района Алексеевский Самарской области от 16.12.2013 N 89, следующие изменения:
положение о территориальном планировании сельского поселения Летниково муниципального района Алексеевский Самарской области изложить в редакции согласно приложению 1 к настоящему постановлению;
карту границ населенных пунктов, входящих в состав сельского поселения Летниково муниципального района Алексеевский Самарской области (М 1:25000), изложить в редакции согласно приложению 2 к настоящему постановлению;
карту функциональных зон сельского поселения Летниково муниципального района Алексеевский Самарской области (М 1:25000) изложить в редакции согласно приложению 3 к настоящему постановлению;
карту планируемого размещения объектов местного значения сельского поселения Летниково муниципального района Алексеевский Самарской области (М 1:5000) изложить в редакции согласно приложению 4 к настоящему постановлению;
карту планируемого размещения объектов инженерной инфраструктуры местного значения сельского поселения Летниково муниципального района Алексеевский Самарской области (М 1:5000) изложить в редакции согласно приложению 5 к настоящему постановлению;
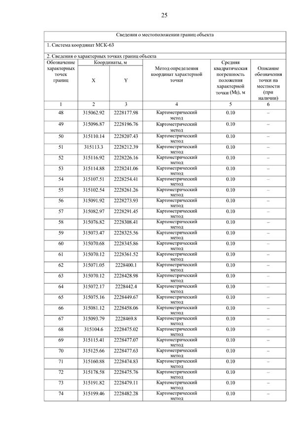
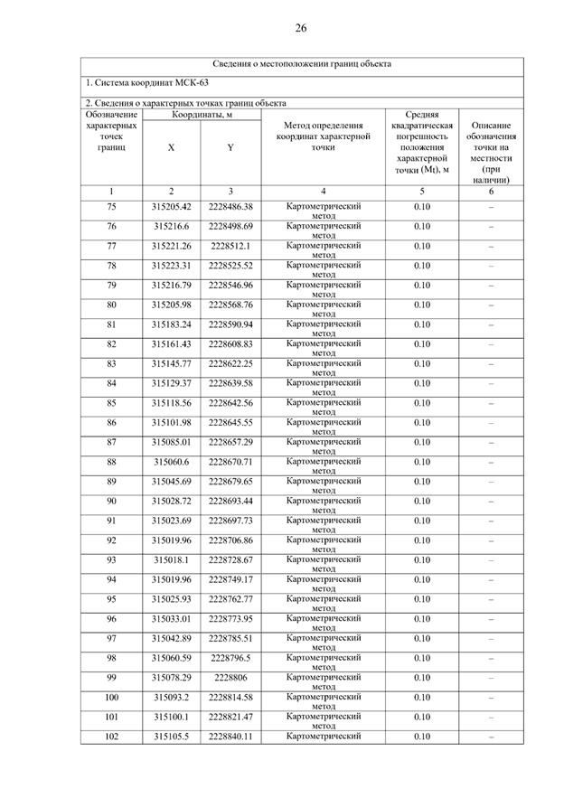
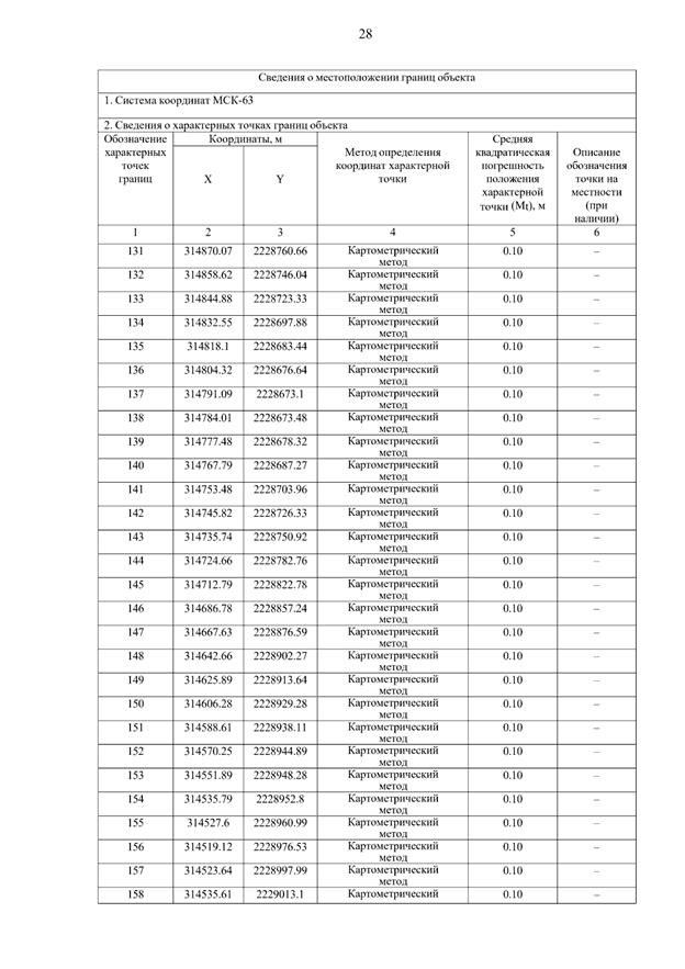
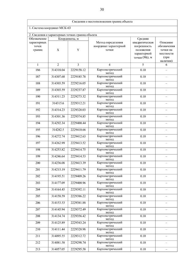
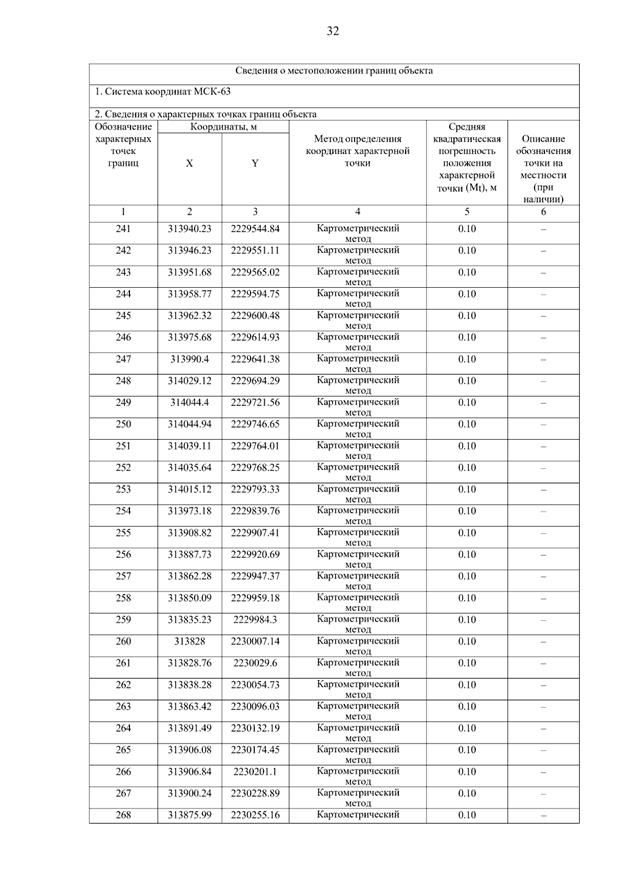
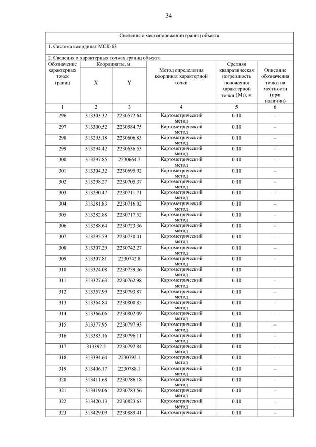
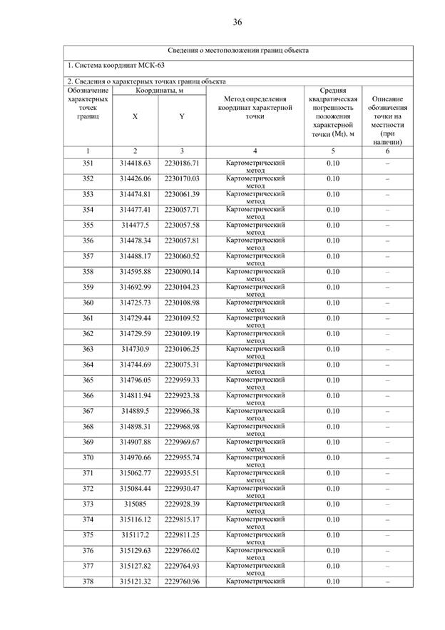
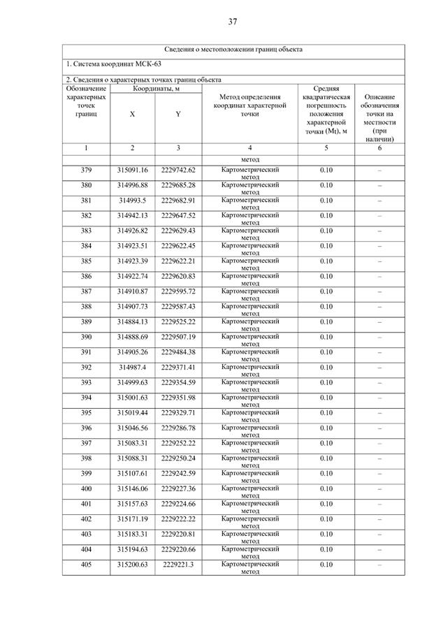
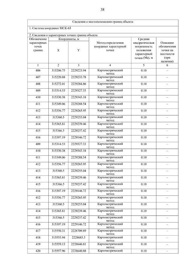
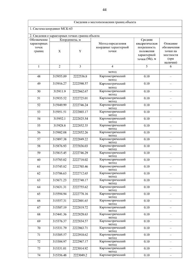
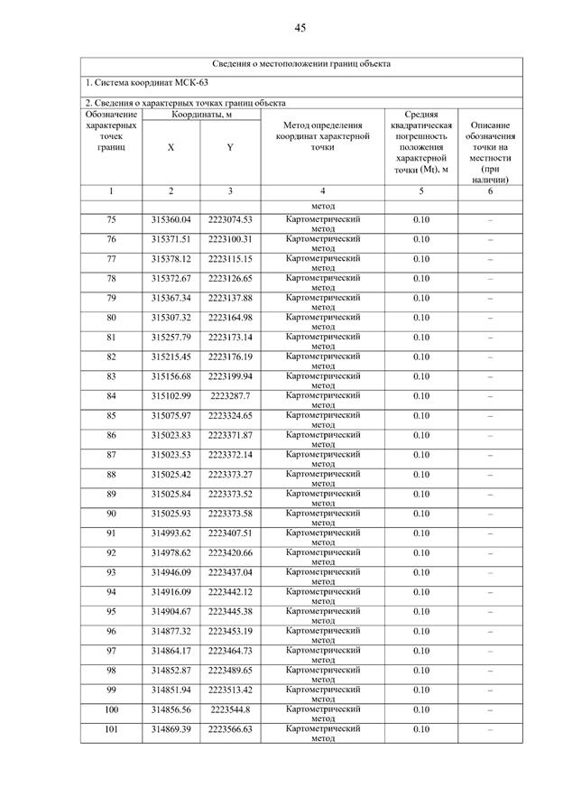
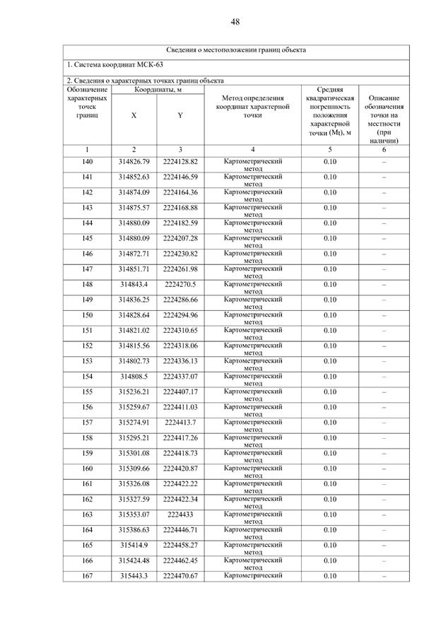
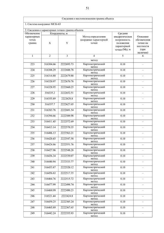
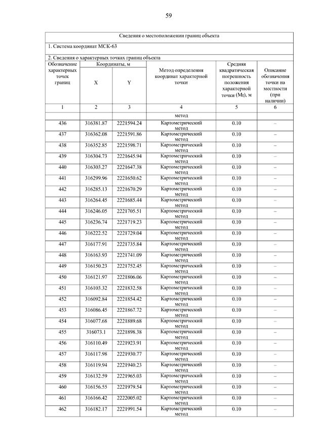
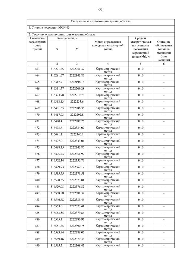
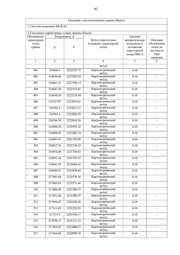
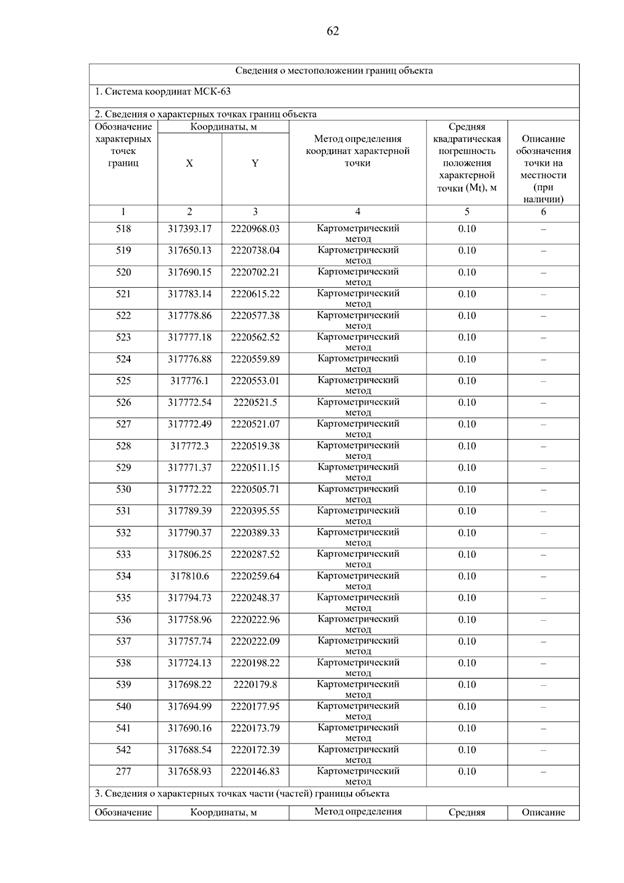
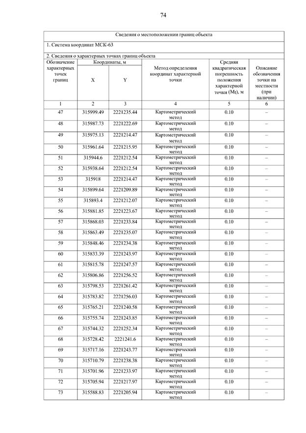
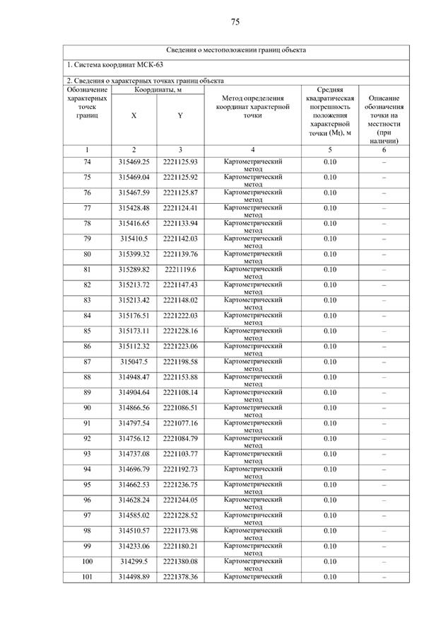
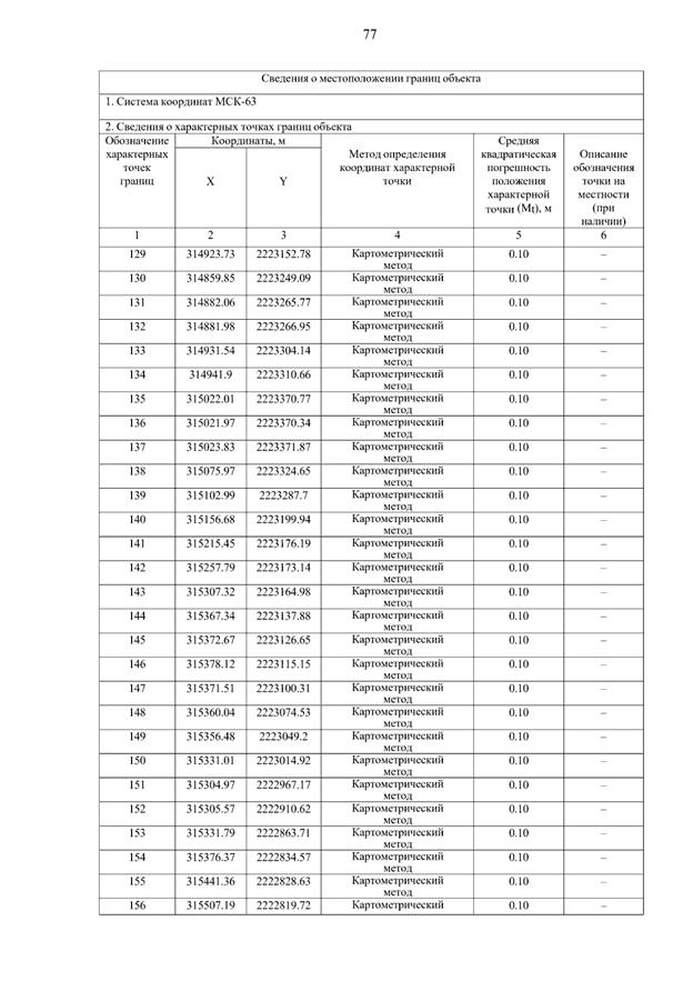
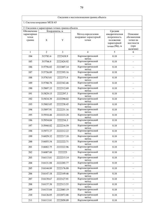
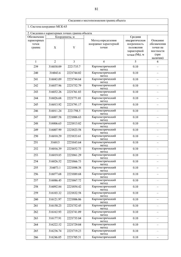
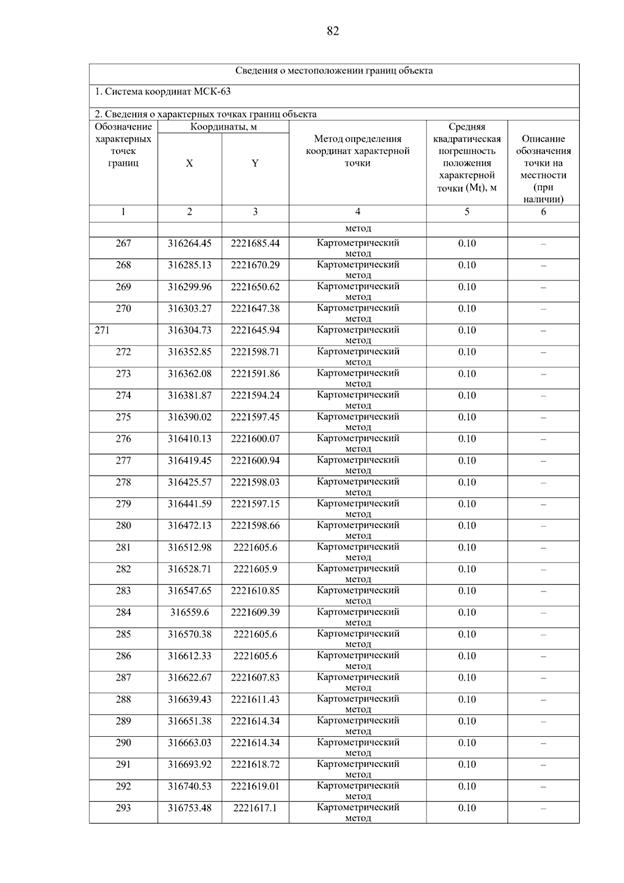
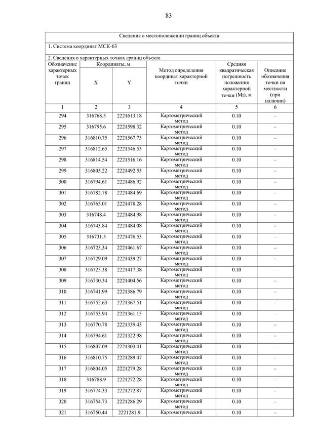
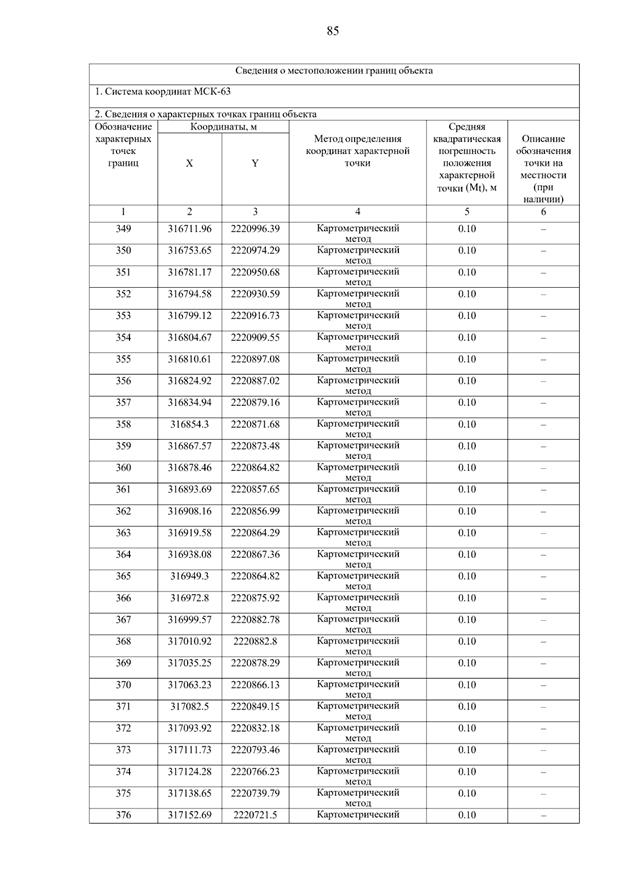
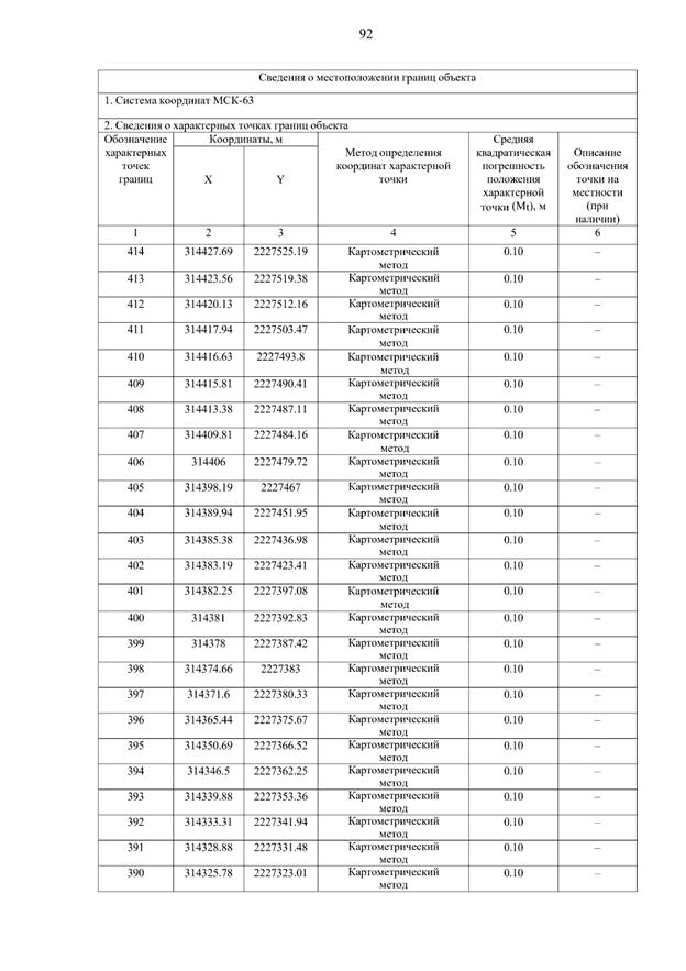
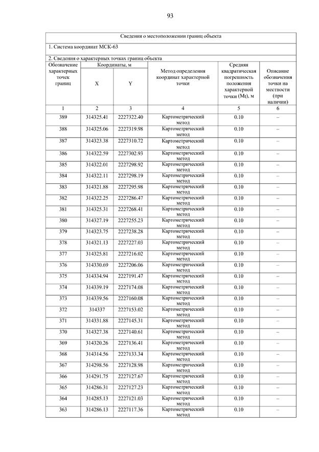
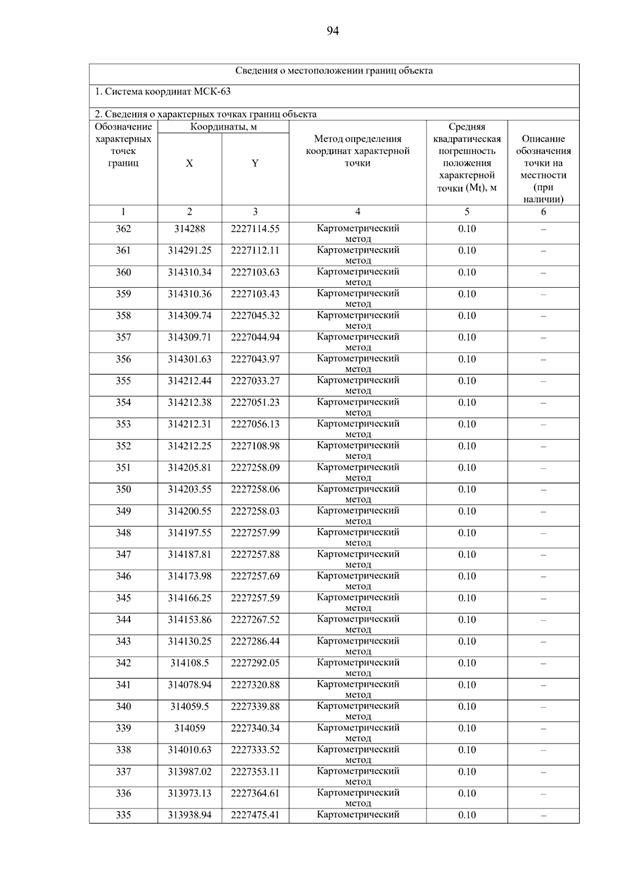
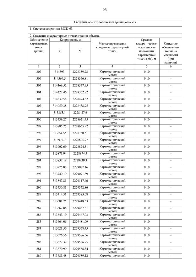
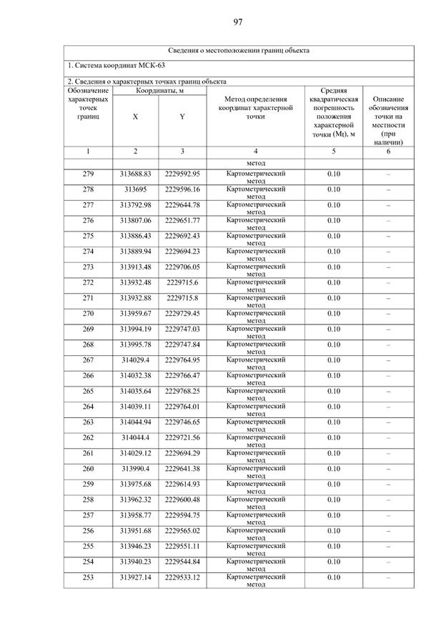
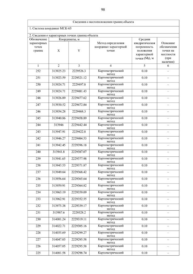
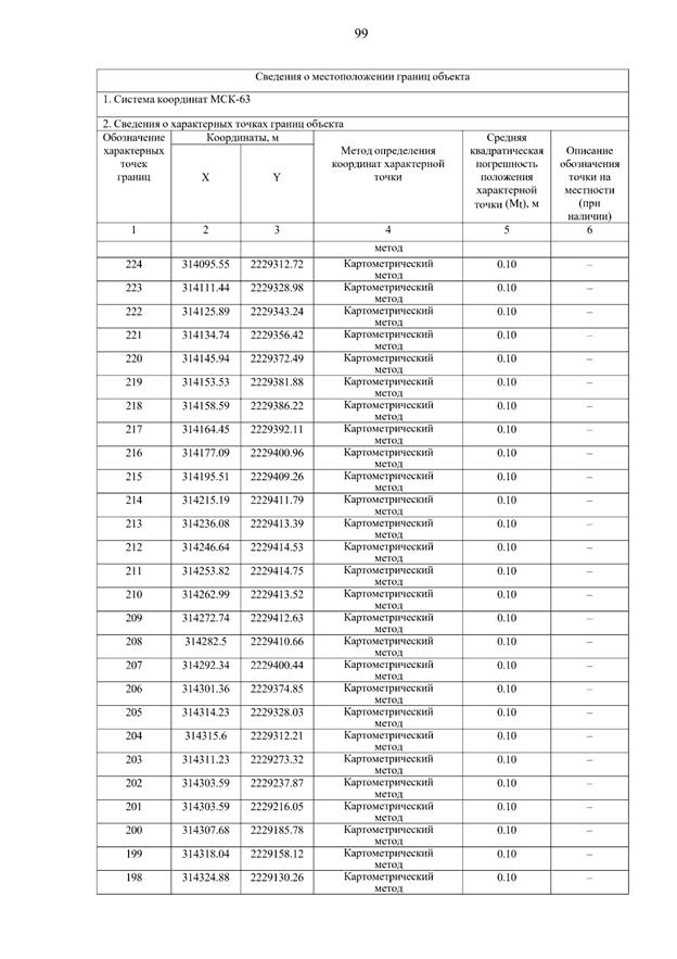
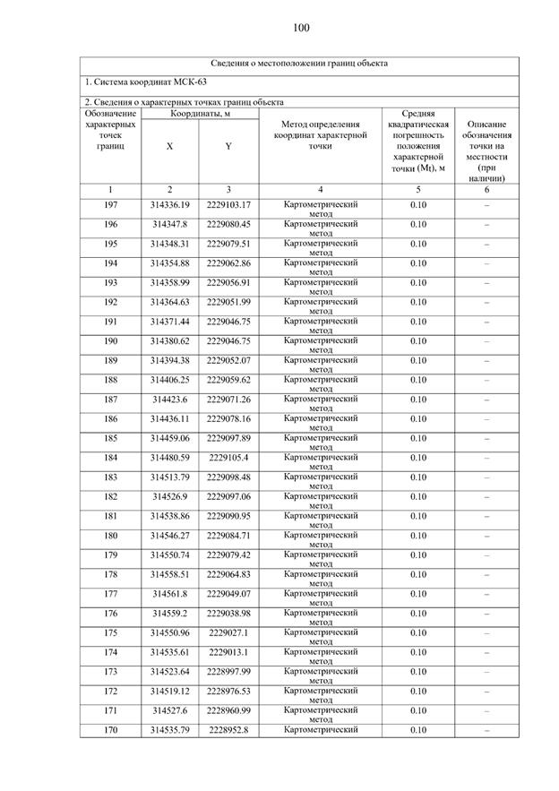
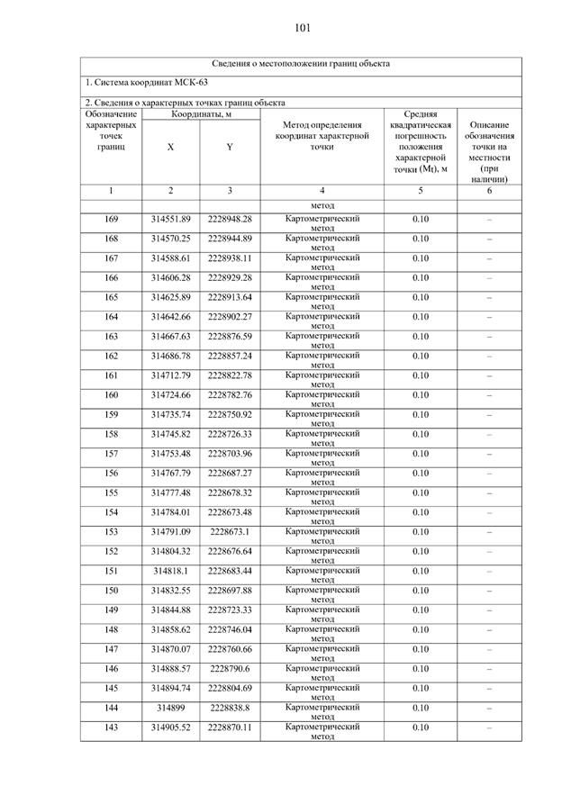
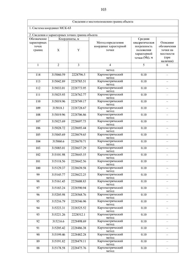
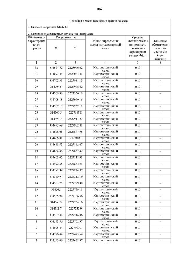
графические описания местоположения границ населенных пунктов, входящих в состав сельского поселения Летниково муниципального района Алексеевский Самарской области, изложить в редакции согласно приложению 6 к настоящему постановлению.
2. Министерству градостроительной политики Самарской области обеспечить доступ к утверждённому Генеральному плану сельского поселения Летниково муниципального района Алексеевский Самарской области в федеральной государственной информационной системе территориального планирования в срок, не превышающий десяти дней со дня вступления в силу настоящего постановления.
3. Контроль за выполнением настоящего постановления возложить на министерство градостроительной политики Самарской области.
4. Опубликовать настоящее постановление в средствах массовой информации.
5. Настоящее постановление вступает в силу со дня его официального опубликования.
Первый
вице-губернатор –
председатель Правительства
Самарской области М.А.Смирнов
ПРИЛОЖЕНИЕ 1
к постановлению Правительства
Самарской области
от 15.09.2025 N 546
ПОЛОЖЕНИЕ
о территориальном планировании сельского поселения Летниково
муниципального района Алексеевский Самарской области
1. Общие положения
1.1. В соответствии с градостроительным законодательством Российской Федерации Генеральный план сельского поселения Летниково муниципального района Алексеевский Самарской области (далее – Генеральный план) является документом территориального планирования муниципального образования. Генеральным планом определено, исходя из совокупности социальных, экономических, экологических и иных факторов, назначение территорий сельского поселения Летниково муниципального района Алексеевский Самарской области в целях обеспечения их устойчивого развития, развития инженерной, транспортной и социальной инфраструктур, обеспечения учета интересов граждан и их объединений, субъектов Российской Федерации, муниципальных образований.
1.2. Генеральный план разработан в соответствии с Конституцией Российской Федерации, Градостроительным кодексом Российской Федерации, Земельным кодексом Российской Федерации, Федеральным законом «Об общих принципах организации законодательных (представительных) и исполнительных органов государственной власти субъектов Российской Федерации», иными федеральными законами и нормативными правовыми актами Российской Федерации, законами и иными нормативными правовыми актами Самарской области, уставом сельского поселения Летниково муниципального района Алексеевский Самарской области, иными нормативными правовыми актами сельского поселения Летниково муниципального района Алексеевский Самарской области.
1.3. При осуществлении территориального планирования сельского поселения Летниково учтены интересы Российской Федерации, Самарской области, муниципального района Алексеевский по реализации полномочий федеральных органов государственной власти, органов государственной власти Самарской области и органов местного самоуправления муниципального района Алексеевский, а также необходимость создания благоприятных условий для реализации на территории Самарской области приоритетных национальных проектов, федеральных и областных целевых программ, программ развития муниципального района Алексеевский.
1.4. Генеральный план разработан в соответствии со Стратегией социально-экономического развития Самарской области на период до 2030 года, утвержденной постановлением Правительства Самарской области от 12.07.2017 N 441, планами и программами комплексного социально-экономического развития муниципального района Алексеевский и сельского поселения Летниково.
1.5. При подготовке Генерального плана учтены:
программы, принятые в установленном порядке и реализуемые за счет средств федерального бюджета, бюджета Самарской области, бюджета муниципального района Алексеевский, бюджета сельского поселения Летниково;
решения органов государственной власти, органов местного самоуправления, иных главных распорядителей средств соответствующих бюджетов, предусматривающие создание на территории сельского поселения Летниково объектов федерального значения, объектов регионального значения, объектов местного значения;
инвестиционные программы субъектов естественных монополий, организаций коммунального комплекса;
сведения, содержащиеся в федеральной государственной информационной системе территориального планирования;
Схема территориального планирования Самарской области, утвержденная постановлением Правительства Самарской области от 13.12.2007 N 261;
Схема территориального планирования муниципального района Алексеевский Самарской области, утвержденная решением Собрания представителей муниципального района Алексеевский Самарской области от 25.02.2010 N 295;
предложения заинтересованных лиц.
1.6. Генеральный план включает:
положение о территориальном планировании сельского поселения Летниково муниципального района Алексеевский Самарской области;
карту границ населённых пунктов, входящих в состав сельского поселения Летниково муниципального района Алексеевский Самарской области (М 1:25 000);
карту функциональных зон сельского поселения Летниково муниципального района Алексеевский Самарской области (М 1:25 000);
карты планируемого размещения объектов местного значения сельского поселения Летниково муниципального района Алексеевский Самарской области (М 1:10000).
1.7. Положение о территориальном планировании сельского поселения Летниково муниципального района Алексеевский Самарской области включает:
сведения о видах, назначении и наименованиях планируемых для размещения объектов местного значения сельского поселения Летниково, их основные характеристики, их местоположение (для объектов местного значения, не являющихся линейными объектами, указываются функциональные зоны), а также характеристики зон с особыми условиями использования территорий в случае, если установление таких зон требуется в связи с размещением данных объектов;
параметры функциональных зон, а также сведения о планируемых для размещения в них объектах федерального значения, объектах регионального значения, объектах местного значения муниципального района Алексеевский, объектов местного значения сельского поселения Летниково, за исключением линейных объектов.
1.8. Карты планируемого размещения объектов местного значения сельского поселения Летниково включают:
карту планируемого размещения объектов местного значения сельского поселения Летниково муниципального района Алексеевский Самарской области (М 1:10 000);
карту планируемого размещения объектов инженерной инфраструктуры местного значения сельского поселения Летниково муниципального района Алексеевский Самарской области (М 1:10 000).
1.9. На картах планируемого размещения объектов местного значения сельского поселения Летниково отображены планируемые для размещения объекты местного значения – объекты капитального строительства, иные объекты, территории, которые необходимы для осуществления органами местного самоуправления сельского поселения Летниково полномочий по вопросам местного значения сельского поселения и в пределах переданных государственных полномочий в соответствии с федеральными законами, законами Самарской области, уставом сельского поселения Летниково и оказывают существенное влияние на социально-экономическое развитие сельского поселения Летниково. Планируемые для размещения линейные объекты, расположенные за границами населенных пунктов сельского поселения Летниково, отображены как на картах планируемого размещения объектов местного значения сельского поселения Летниково муниципального района Алексеевский Самарской области (М 1:10 000), так и на карте функциональных зон сельского поселения Летниково муниципального района Алексеевский Самарской области (М 1:25 000).
1.10. Функциональное зонирование территории отображено на картах Генерального плана в соответствии с Требованиями к описанию и отображению в документах территориального планирования объектов федерального значения, объектов регионального значения, объектов местного значения, утвержденными приказом Министерства экономического развития Российской Федерации от 09.01.2018 N 10 (далее – Приказ). Для определения границ функциональных зон может применяться как карта функциональных зон сельского поселения Летниково муниципального района Алексеевский Самарской области (М 1:25 000), так и карты планируемого размещения объектов местного значения сельского поселения Летниково муниципального района Алексеевский Самарской области (М 1:10 000).
1.11. Виды объектов местного значения сельского поселения Летниково, отображенные на картах планируемого размещения объектов местного значения сельского поселения Летниково, соответствуют требованиям Градостроительного кодекса Российской Федерации и части 2.1 статьи 5 Закона Самарской области «О градостроительной деятельности на территории Самарской области».
Отображение объектов на картах Генерального плана выполнено в соответствии с требованиями Приказа.
1.12. Реализация Генерального плана осуществляется путем выполнения мероприятий, которые предусмотрены программами, утверждаемыми администрацией сельского поселения Летниково, и реализуемыми за счет средств местного бюджета, или нормативными правовыми актами администрации сельского поселения Летниково, программами комплексного развития систем коммунальной инфраструктуры поселения, программами комплексного развития транспортной инфраструктуры поселения, программами комплексного развития социальной инфраструктуры поселения и (при наличии) инвестиционными программами организаций коммунального комплекса. Указанные мероприятия могут включать:
1) подготовку и утверждение документации по планировке территории в соответствии с Генеральным планом;
2) принятие в порядке, установленном законодательством Российской Федерации, решений о резервировании земель, об изъятии, в том числе путем выкупа, земельных участков для муниципальных нужд, о переводе земель или земельных участков из одной категории в другую;
3) создание объектов местного значения сельского поселения Летниково на основании документации по планировке территории.
1.13. В случае если программы, реализуемые за счет средств бюджета сельского поселения Летниково, решения органов местного самоуправления сельского поселения Летниково, иных главных распорядителей средств бюджета сельского поселения Летниково, предусматривающие создание объектов местного значения сельского поселения Летниково, инвестиционные программы субъектов естественных монополий, организаций коммунального комплекса, приняты до утверждения Генерального плана и предусматривают создание объектов местного значения сельского поселения Летниково, подлежащих отображению в Генеральном плане, но не предусмотренных Генеральным планом, или в случае внесения в Генеральный план изменений в части размещения объектов местного значения такие программы и решения подлежат приведению в соответствие с Генеральным планом в двухмесячный срок соответственно с даты их утверждения, даты внесения в них изменений.
1.14. В случае если программы, реализуемые за счет средств бюджета сельского поселения Летниково, решения органов местного самоуправления сельского поселения Летниково, предусматривающие создание объектов местного значения сельского поселения Летниково, инвестиционные программы субъектов естественных монополий, организаций коммунального комплекса принимаются после утверждения Генерального плана и предусматривают создание объектов местного значения сельского поселения Летниково, подлежащих отображению в Генеральном плане, но не предусмотренных Генеральным планом, в Генеральный план в пятимесячный срок с даты утверждения таких программ и принятия таких решений вносятся соответствующие изменения.
1.15. В случае если в Генеральный план внесены изменения, предусматривающие строительство или реконструкцию объектов коммунальной, транспортной, социальной инфраструктур, которые являются объектами местного значения и не включены в программы комплексного развития систем коммунальной инфраструктуры поселения, программы комплексного развития транспортной инфраструктуры поселения, программы комплексного развития социальной инфраструктуры поселения, данные программы подлежат приведению в соответствие с Генеральным планом в трехмесячный срок с даты внесения соответствующих изменений в Генеральный план.
1.16. Указанные в настоящем Положении характеристики планируемых для размещения объектов местного значения сельского поселения Летниково (площадь, протяженность, количество мест и иные) являются ориентировочными и подлежат уточнению в документации по планировке территории и в проектной документации на соответствующие объекты.
1.17. Вновь построенные, прошедшие реконструкцию или капитальный ремонт объекты должны соответствовать требованиям доступности для маломобильных групп населения (в том числе инвалидов-колясочников, инвалидов по слуху и зрению).
1.18. Характеристики зон с особыми условиями использования территории планируемых объектов местного значения сельского поселения Летниково, в случае если установление таких зон требуется в связи с размещением данных объектов, определены в соответствии с законодательством Российской Федерации, действовавшим на момент подготовки Генерального плана.
Размеры санитарно-защитных зон планируемых объектов местного значения сельского поселения Летниково, являющихся источниками воздействия на среду обитания, определены в соответствии с СанПиН 2.2.1/2.1.1.1200-03 «Санитарно-защитные зоны и санитарная классификация предприятий, сооружений и иных объектов», утвержденными постановлением Главного государственного санитарного врача Российской Федерации от 25.09.2007 N 74 (далее также – СанПиН 2.2.1/2.1.1.1200-03).
Размеры санитарно-защитных зон планируемых объектов местного значения сельского поселения Летниково, являющихся источниками воздействия на среду обитания, для которых СанПиН 2.2.1/2.1.1.1200-03 не установлены размеры санитарно-защитной зоны и рекомендуемые разрывы, а также размеры санитарно-защитных зон планируемых объектов местного значения сельского поселения Летниково IV – V класса опасности, определяются проектами ориентировочного размера санитарно-защитной зоны соответствующих объектов.
1.19. Применение отображенных на картах материалов по обоснованию Генерального плана зон с особыми условиями использования территории осуществляется с учетом положений Земельного кодекса Российской Федерации о том, что установление, изменение, прекращение существования зоны с особыми условиями использования территории осуществляются на основании решения уполномоченного органа государственной власти, органа местного самоуправления и положений статьи 26 Федерального закона от 03.08.2018 N 342-ФЗ «О внесении изменений в Градостроительный кодекс Российской Федерации и отдельные законодательные акты Российской Федерации».
Ограничения использования земельных участков в зонах с особыми условиями использования территорий считаются установленными или измененными со дня внесения сведений в Единый государственный реестр недвижимости.
Определенные в соответствии с требованиями законодательства в области обеспечения санитарно-эпидемиологического благополучия населения и отображенные на картах материалов по обоснованию Генерального плана ориентировочные, расчетные (предварительные) санитарно-защитные зоны применяются в порядке, установленном статьей 26 Федерального закона «О внесении изменений в Градостроительный кодекс Российской Федерации и отдельные законодательные акты Российской Федерации».
1.20. Отображение на картах Генерального плана планируемых для размещения объектов федерального значения, объектов регионального значения, объектов местного значения муниципального района Алексеевский не определяет их местоположение, а осуществляется в целях определения функциональных зон их размещения.
1.21. Отображение на картах Генерального плана существующих и планируемых объектов, не являющихся объектами федерального значения, объектами регионального значения, объектами местного значения, осуществляется в информационных целях.
2. Сведения о видах, назначении и наименованиях планируемых для размещения
объектов местного значения сельского поселения Летниково муниципального района Алексеевский
Самарской области, их основные характеристики и местоположение
2.1. Объекты местного значения в сфере физической культуры и массового спорта
N п/п | Назначение и наименование объекта | Местоположение объекта | Вид работ, который планируется в целях размещения объекта | Срок, до которого планируется размещение объекта, год | Основные характеристики объекта
| Характеристики зон с особыми условиями использования территорий | ||
площадь земельного участка, га | площадь объекта, га | иные характеристики | ||||||
1.
| Спортивные плоскостные сооружения
| село Славинка | Строительство | 2030 | - | - | - | Установление зон с особыми условиями использования территорий в связи с размещением объекта не требуется |
2. | Спортивные плоскостные сооружения
| село Славинка | Строительство | 2030 | - | - | - | |
3. | Спортивные плоскостные сооружения
| село Славинка | Строительство | 2030 | - | - | - | |
4. | Спортивные плоскостные сооружения
| село Летниково | Строительство | 2030 | - | - | - | |
5. | Спортивные плоскостные сооружения | село Самовольно-Ивановка | Строительство | 2030 | - | - | - | |
2.2. Объекты местного значения в сфере культуры
Генеральным планом размещение объектов не предусмотрено.
2.3. Объекты местного значения в сфере создания условий для обеспечения
жителей поселения услугами бытового обслуживания
Генеральным планом размещение объектов не предусмотрено.
2.4. Объекты местного значения в сфере электроснабжения
N N п/п | Назначение и наименование объекта | Местоположение объекта | Вид работ, который планируется в целях размещения объекта | Срок, до которого планируется размещение объекта, год | Основные характеристики объекта | Характеристики зон с особыми условиями использования территорий (ЗСО) | |
протяжен-ность, км | иные характеристики
| ||||||
1. | Воздушные линии электропередачи
| село Славинка, площадка N 1 | Строительство | 2033 | 1,95 | 10 кВ | В соответствии с Правилами установления охранных зон объектов электросетевого хозяйства и особых условий использования земельных участков, расположенных в границах таких зон, утвержденными постановлением Правительства Российской Федерации от 24.02.2009 N 160, размер охранной зоны – 10 м по обе стороны от крайних проводов (5 м – для линий с самонесущими или изолированными проводами, размещенных в границах населенных пунктов) |
2. | Воздушные линии электропередачи | село Летниково, площадка N 1 | Строительство | 2033 | 0,25 | 10 кВ | |
2.5. Объекты местного значения в сфере водоснабжения
N п/п | Назначение и наименование объекта | Местоположение объекта | Вид работ, который планируется в целях размещения объекта | Срок, до которого планируется размещение объекта, год | Основные характеристики объекта | Характеристики зон с особыми условиями использования территорий (ЗСО) | |
протяженность, км | иные характеристики | ||||||
1. | Сети водопровода
| село Славинка, площадка N 1 | Строительство | 2033 | 1,57 | - | В соответствии с СанПиН 2.1.4.1110-02 ширину санитарно-защитной полосы следует принимать по обе стороны от крайних линий водопровода: при отсутствии грунтовых вод – не менее 10 м при диаметре водоводов до 1000 мм и не менее 20 м при диаметре водоводов более 1000 мм; при наличии грунтовых вод – не менее 50 м вне зависимости от диаметра водоводов. |
2. | Сети водопровода | село Летниково, площадка N 1 | Строительство | 2033 | 0,25 | - | |
2.6. Объекты местного значения в сфере газоснабжения
N п/п | Назначение и наименование объекта | Местоположение объекта | Вид работ, который планируется в целях размещения объекта | Срок, до которого планируется размещение объекта, год | Основные характеристики объекта | Характеристики зон с особыми условиями использования территорий (ЗСО) | |
протяженность, км | иные характеристики | ||||||
1. | Газопровод | село Славинка, площадка N 1
| Строительство | 2033 | 3,52 | - | В соответствии с Правилами охраны газораспределительных сетей, утвержденными постановлением Правительства Российской Федерации от 20.11.2000 N 878, вдоль трасс наружных газопроводов охранные зоны устанавливаются в виде территории, ограниченной условными линиями, проходящими на расстоянии 2 метров с каждой стороны газопровода; вдоль трасс подземных газопроводов из полиэтиленовых труб при использовании медного провода для обозначения трассы газопровода – в виде территории, ограниченной условными линиями, проходящими на расстоянии 3 метров от газопровода со стороны провода и 2 метров – с противоположной стороны |
2. | Газопровод | село Летниково, площадка N 1 | Строительство | 2033 | 0,5 | - | |
2.7. Объекты местного значения в сфере транспортной инфраструктуры
N п/п | Назначение и наименование объекта | Местоположение объекта | Вид работ, который планируется в целях размещения объекта | Срок, до которого планируется размещение объекта, год | Основные характеристики объекта | Характеристики зон с особыми условиями использования территорий (ЗСО) | |
протяженность, км | иные характеристики | ||||||
1. | Улицы и автомобильные дороги местного значения
| село Славинка, площадка N1 | Строительство | 2033 | 1,95 | Второстепенные улицы | Установление зон с особыми условиями использования территорий в связи с размещением объекта не требуется |
2. | Улицы и автомобильные дороги местного значения
| село Летниково, площадка N 1 | Строительство | 2033 | 0,25 | Основная улица | |
2.8. Объекты местного значения в сфере создания условий для массового отдыха жителей
и организации обустройства мест массового отдыха населения
N п/п | Назначение и наименование объекта | Местоположение объекта | Вид работ, который планируется в целях размещения объекта | Срок, до которого планируется размещение объекта, год | Основные характеристики объекта | Характеристики зон с особыми условиями использования территорий (ЗСО) | ||
площадь земельного участка | площадь объекта, га | иные характеристики | ||||||
1. | Пешеходный бульвар и сквер
| село Летниково, площадка N 3, ул. N 5 | Строительство | 2033 | 1,3 га | - | - | Установление зон с особыми условиями использования территорий в связи с размещением объекта не требуется |
2. | Пешеходный бульвар и сквер
| село Летниково, площадка N 1, ул. Молодежная | Строительство | 2033 | 1,1 га | - | - | |
3.08.19 | Пешеходный бульвар и сквер | село Славинка, площадка N 1, ул. Молодежная | Строительство | 2033 | 1,8 га | - | - | |
3. Параметры функциональных зон, а также сведения о планируемых для размещения в них
объектах регионального значения, объектах местного значения муниципального района Алексеевский,
объектах местного значения сельского поселения Летниково, за исключением линейных объектов
Вид зоны | Площадь, га | Коэффициент застройки | Коэффициент плотности застройки | Плотность населения, чел./га |
Жилые зоны | 575,73 | 0,2 | 0,4 | 25 |
| Объекты местного значения муниципального района: дошкольное образовательное учреждение на 25 мест по ул. Красноярской в селе Самовольно-Ивановка площадью земельного участка 0,5 га (строительство); дошкольное образовательное учреждение по ул. N 3 в селе Славинка площадью земельного участка 0,58 га (строительство); здание общеобразовательного учреждения (начального общего, основного общего, среднего (полного) общего образования) в поселке Летниково (реконструкция); здание общеобразовательного учреждения (начального общего, основного общего, среднего (полного) общего образования) в селе Самовольно-Ивановка (реконструкция) | |||
Развитие жилой зоны до 2033 года в селе Летниково планируется на следующих площадках: площадка N 1 в восточной части населенного пункта общей площадью 1,8 га по ул. N 1; площадка N 2 в северо-западной части населенного пункта общей площадью 2 га по ул. Захара Вобликова. Развитие жилой зоны до 2033 года в селе Славинка планируется на следующих площадках: площадка N 1 в южной части населенного пункта по ул. N 1, 2 и ул. N 3, ул. N 4 общей площадью 12,5 га; площадка N 2 в западной части населенного пункта по ул. Заречной общей площадью 3,5 га. Развитие жилой зоны до 2033 года в селе Пушкарка планируется на следующих площадках: площадка N 1 в юго-восточной части населенного пункта общей площадью 1,3 га по ул. Максима Горького; площадка N 2 в населенного пункта общей площадью 4 га по ул. Максима Горького. Развитие жилой зоны до 2033 года в селе Калашиновка планируется на следующих площадках: площадка N 1 в северо-западной части населенного пункта общей площадью 1,3 га по ул. Октябрьской. Развитие жилой зоны до 2033 года в селе Горяйновка планируется на следующих площадках: площадка N 1 в юго-восточной части населенного пункта общей площадью 4,8 га по ул. Октябрьской; площадка N 2 в западной части населенного пункта общей площадью 4,2 га по ул. Октябрьской. Развитие жилой зоны до 2033 года в селе Ореховка планируется на следующих площадках: площадка N 1 в восточной части населенного пункта общей площадью 7,9 га по ул. Молодежной. Развитие жилой зоны до 2033 года в селе Самовольно-Ивановка планируется на следующих площадках: площадка N 1 в центральной части населенного пункта общей площадью 2,2 га по ул. Молодежной; площадка N 2 в южной части населенного пункта общей площадью 1,5 га по ул. Красноярской; площадка N 3 в восточной части населенного пункта общей площадью 3 га по ул. Чапаевской | ||||
Общественно-деловые зоны | 9,64 | - | - | - |
Производственные зоны |
| - | - | - |
Производственные зоны, зоны инженерной и транспортной инфраструктур | 30,58 | - | - | - |
|
| |||
Зоны сельскохозяйственного использования | 77,74 | - | - | - |
Зоны рекреационного назначения | 145,62 | - | - | - |
| Объекты местного значения сельского поселения: спортивные плоскостные сооружения в селе Славинка по ул. N 1 (строительство); спортивные плоскостные сооружения в селе Славинка по ул. Советской (строительство); спортивные плоскостные сооружения на западе села Славинка (строительство); спортивные плоскостные сооружения в селе Летниково пер. Центральный (строительство); спортивные плоскостные сооружения в селе Самовольно-Ивановка по ул. Чапаевской (строительство) | |||
Зоны специального назначения | 13,13 | - | - | - |

















































































































