Постановление Правительства Самарской области от 19.08.2025 N 476 "О внесении изменений в Генеральный план сельского поселения Виловатое муниципального района Богатовский Самарской области"
ПРАВИТЕЛЬСТВО САМАРСКОЙ ОБЛАСТИ
ПОСТАНОВЛЕНИЕ
от 19 августа 2025 г. N 476
О внесении изменений в Генеральный план сельского поселения Виловатое
муниципального района Богатовский Самарской области
В соответствии с Градостроительным кодексом Российской Федерации, законами Самарской области «О градостроительной деятельности на территории Самарской области», «О перераспределении полномочий между органами местного самоуправления и органами государственной власти Самарской области в сферах градостроительной деятельности и рекламы на территории Самарской области» Правительство Самарской области ПОСТАНОВЛЯЕТ:
1. Внести в Генеральный план сельского поселения Виловатое муниципального района Богатовский Самарской области, утверждённый решением Собрания представителей сельского поселения Виловатое муниципального района Богатовский Самарской области от 15.11.2013 N 16, следующие изменения:
положение о территориальном планировании сельского поселения Виловатое муниципального района Богатовский Самарской области изложить в редакции согласно приложению 1 к настоящему постановлению;
карту границ населенных пунктов, входящих в состав сельского поселения Виловатое муниципального района Богатовский Самарской области (М 1:25000), изложить в редакции согласно приложению 2 к настоящему постановлению;
карту функциональных зон сельского поселения Виловатое муниципального района Богатовский Самарской области (М 1:25000) изложить в редакции согласно приложению 3 к настоящему постановлению;
карту планируемого размещения объектов местного значения сельского поселения Виловатое муниципального района Богатовский Самарской области (М 1:5000) изложить в редакции согласно приложению 4 к настоящему постановлению;
карту планируемого размещения объектов инженерной инфраструктуры местного значения сельского поселения Виловатое муниципального района Богатовский Самарской области (М 1:5000) изложить в редакции согласно приложению 5 к настоящему постановлению;
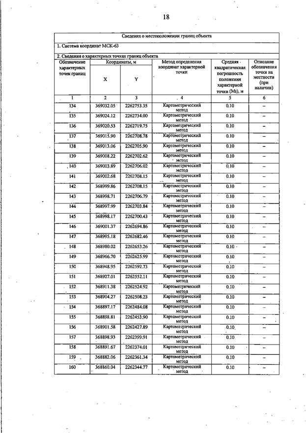
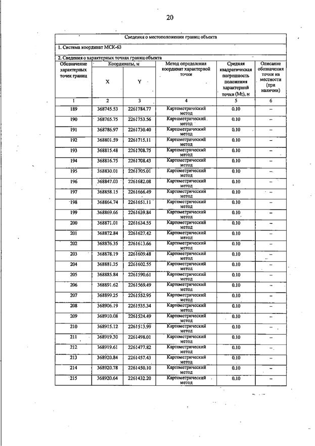
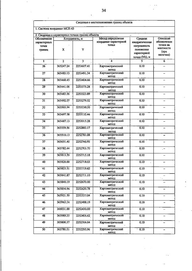
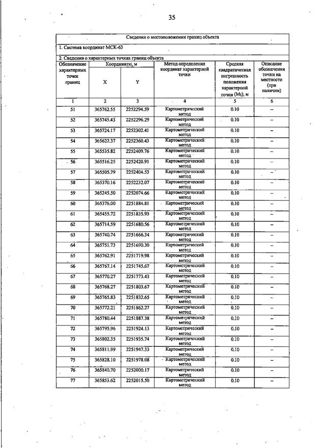
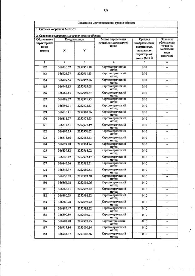
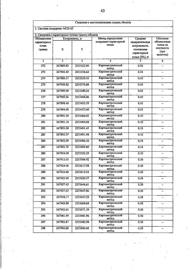
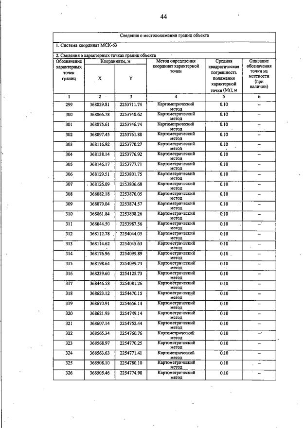
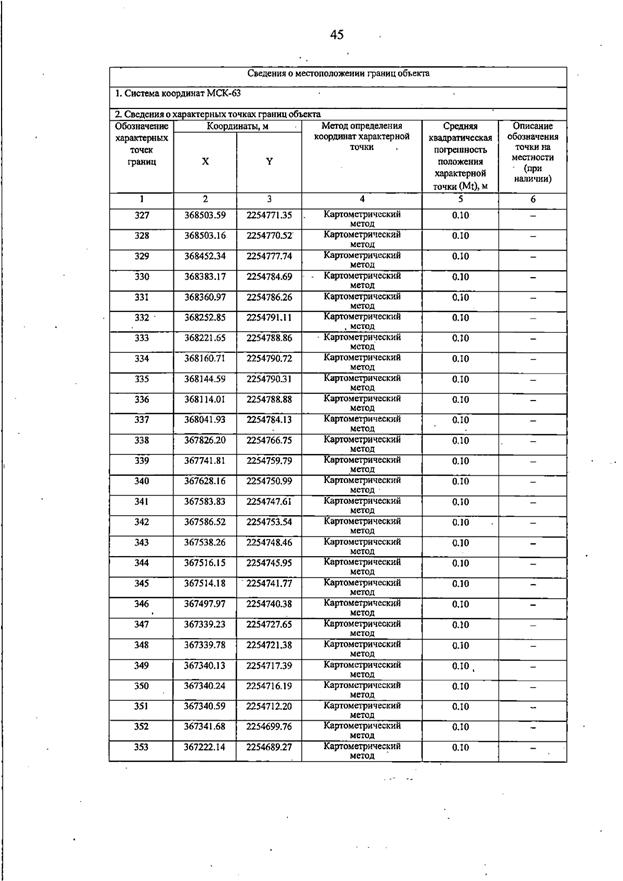
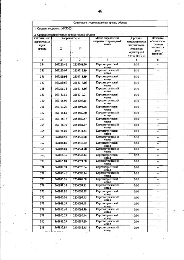
графические описания местоположения границ населенных пунктов, входящих в состав сельского поселения Виловатое муниципального района Богатовский Самарской области, изложить в редакции согласно приложению 6 к настоящему постановлению.
2. Министерству градостроительной политики Самарской области обеспечить доступ к утверждённому Генеральному плану сельского поселения Виловатое муниципального района Богатовский Самарской области в федеральной государственной информационной системе территориального планирования в срок, не превышающий десяти дней со дня вступления в силу настоящего постановления.
3. Контроль за выполнением настоящего постановления возложить на министерство градостроительной политики Самарской области.
4. Опубликовать настоящее постановление в средствах массовой информации.
5. Настоящее постановление вступает в силу со дня его официального опубликования.
Первый
вице-губернатор –
председатель Правительства
Самарской области М.А. Смирнов
ПРИЛОЖЕНИЕ 1
к постановлению Правительства
Самарской области
от 19 августа 2025 г. N 476
ПОЛОЖЕНИЕ
о территориальном планировании сельского поселения Виловатое
муниципального района Богатовский Самарской области
1. Общие положения
1.1. В соответствии с градостроительным законодательством Российской Федерации Генеральный план сельского поселения Виловатое муниципального района Богатовский Самарской области (далее – Генеральный план) является документом территориального планирования муниципального образования. Генеральным планом определено, исходя из совокупности социальных, экономических, экологических и иных факторов, назначение территорий сельского поселения Виловатое муниципального района Богатовский Самарской области в целях обеспечения их устойчивого развития, развития инженерной, транспортной и социальной инфраструктур, обеспечения учета интересов граждан и их объединений, субъектов Российской Федерации, муниципальных образований.
1.2. Генеральный план разработан в соответствии с Конституцией Российской Федерации, Градостроительным кодексом Российской Федерации, Земельным кодексом Российской Федерации, Федеральным законом «Об общих принципах организации законодательных (представительных) и исполнительных органов государственной власти субъектов Российской Федерации», иными федеральными законами и нормативными правовыми актами Российской Федерации, законами и иными нормативными правовыми актами Самарской области, уставом сельского поселения Виловатое муниципального района Богатовский Самарской области, иными нормативными правовыми актами муниципального района Богатовский Самарской области.
1.3. При осуществлении территориального планирования сельского поселения Виловатое учтены интересы Российской Федерации, Самарской области, муниципального района Богатовский по реализации полномочий федеральных органов государственной власти, органов государственной власти Самарской области и органов местного самоуправления муниципального района Богатовский, а также необходимость создания благоприятных условий для реализации на территории Самарской области приоритетных национальных проектов, федеральных и областных целевых программ, программ развития муниципального района Богатовский.
1.4. Генеральный план разработан в соответствии со Стратегией социально-экономического развития Самарской области на период до 2030 года, утвержденной постановлением Правительства Самарской области от 12.07.2017 N 441, планами и программами комплексного социально-экономического развития муниципального района Богатовский и сельского поселения Виловатое.
1.5. При подготовке Генерального плана учтены:
программы, принятые в установленном порядке и реализуемые за счет средств федерального бюджета, бюджета Самарской области, бюджета муниципального района Богатовский, бюджета сельского поселения Виловатое;
решения органов государственной власти, органов местного самоуправления, иных главных распорядителей средств соответствующих бюджетов, предусматривающие создание на территории сельского поселения Виловатое объектов федерального значения, объектов регионального значения, объектов местного значения;
инвестиционные программы субъектов естественных монополий, организаций коммунального комплекса;
сведения, содержащиеся в федеральной государственной информационной системе территориального планирования;
Схема территориального планирования Самарской области, утвержденная постановлением Правительства Самарской области от 13.12.2007 N 261;
Схема территориального планирования муниципального района Богатовский Самарской области, утвержденная решением Собрания представителей муниципального района Богатовский Самарской области от 24.12.2009 N 84;
предложения заинтересованных лиц.
1.6. Генеральный план включает:
положение о территориальном планировании сельского поселения Виловатое;
карту границ населённых пунктов, входящих в состав сельского поселения Виловатое муниципального района Богатовский Самарской области (М 1:25000);
карты функциональных зон сельского поселения Виловатое муниципального района Богатовский Самарской области (М 1:25 000, М 1:10 000);
карты планируемого размещения объектов местного значения сельского поселения Виловатое муниципального района Богатовский Самарской области.
1.7. Положение о территориальном планировании сельского поселения Виловатое муниципального района Богатовский Самарской области включает:
сведения о видах, назначении и наименованиях планируемых для размещения объектов местного значения сельского поселения Виловатое, их основные характеристики, их местоположение (для объектов местного значения, не являющихся линейными объектами, указываются функциональные зоны), а также характеристики зон с особыми условиями использования территорий в случае, если установление таких зон требуется в связи с размещением данных объектов;
параметры функциональных зон, а также сведения о планируемых для размещения в них объектах федерального значения, объектах регионального значения, объектах местного значения муниципального района Богатовский, объектов местного значения сельского поселения Виловатое, за исключением линейных объектов.
1.8. Карты планируемого размещения объектов местного значения сельского поселения Виловатое включают:
карту планируемого размещения объектов местного значения сельского поселения Виловатое муниципального района Богатовский Самарской области (М 1:10 000);
карту планируемого размещения объектов инженерной инфраструктуры местного значения сельского поселения Виловатое муниципального района Богатовский Самарской области (М 1:10 000);
1.9. На картах планируемого размещения объектов местного значения сельского поселения Виловатое отображаются планируемые для размещения объекты местного значения – объекты капитального строительства, иные объекты, территории, которые необходимы для осуществления органами местного самоуправления сельского поселения Виловатое полномочий по вопросам местного значения сельского поселения и в пределах переданных государственных полномочий в соответствии с федеральными законами, законами Самарской области, уставом сельского поселения Виловатое и оказывают существенное влияние на социально-экономическое развитие сельского поселения Виловатое.
1.10. Функциональное зонирование территории отображено на картах Генерального плана в соответствии с Требованиями к описанию и отображению в документах территориального планирования объектов федерального значения, объектов регионального значения, объектов местного значения, утвержденными приказом Министерства экономического развития Российской Федерации от 09.01.2018 N 10 (далее – Приказ). Для определения границ функциональных зон может применяться как карта функциональных зон сельского поселения Виловатое муниципального района Богатовский Самарской области (М 1:25 000), так и карты планируемого размещения объектов местного значения сельского поселения Виловатое муниципального района Богатовский Самарской области (М1:10000).
1.11. Виды объектов местного значения сельского поселения Виловатое, отображенные на картах планируемого размещения объектов местного значения сельского поселения Виловатое, соответствуют требованиям части 2.1 статьи 5 Закона Самарской области «О градостроительной деятельности на территории Самарской области».
Отображение объектов на картах Генерального плана выполнено в соответствии с требованиями Приказа.
1.12. Реализация Генерального плана осуществляется путем выполнения мероприятий, которые предусмотрены программами, утвержденными администрацией сельского поселения Виловатое и реализуемыми за счет средств местного бюджета, или нормативными правовыми актами администрации сельского поселения Виловатое, или в установленном администрацией сельского поселения Виловатое порядке решениями главных распорядителей средств местного бюджета, или инвестиционными программами организаций коммунального комплекса. Указанные мероприятия могут включать:
подготовку и утверждение документации по планировке территории в соответствии с Генеральным планом;
принятие в порядке, установленном законодательством Российской Федерации, решений о резервировании земель, об изъятии, в том числе путем выкупа, земельных участков для муниципальных нужд, о переводе земель или земельных участков из одной категории в другую;
создание объектов местного значения сельского поселения Виловатое на основании документации по планировке территории.
1.13. В случае если программы, реализуемые за счет средств бюджета сельского поселения Виловатое, решения органов местного самоуправления сельского поселения Виловатое, иных главных распорядителей средств бюджета сельского поселения Виловатое, предусматривающие создание объектов местного значения сельского поселения Виловатое, инвестиционные программы субъектов естественных монополий, организаций коммунального комплекса, приняты до утверждения Генерального плана и предусматривают создание объектов местного значения сельского поселения Виловатое, подлежащих отображению в Генеральном плане, но не предусмотренных Генеральным планом, или в случае внесения в Генеральный план изменений в части размещения объектов местного значения такие программы и решения подлежат приведению в соответствие с Генеральным планом в двухмесячный срок соответственно с даты их утверждения, даты внесения в них изменений.
1.14. В случае если программы, реализуемые за счет средств бюджета сельского поселения Виловатое, решения органов местного самоуправления сельского поселения Виловатое, предусматривающие создание объектов местного значения сельского поселения Виловатое, инвестиционные программы субъектов естественных монополий, организаций коммунального комплекса принимаются после утверждения Генерального плана и предусматривают создание объектов местного значения сельского поселения Виловатое, подлежащих отображению в Генеральном плане, но не предусмотренных Генеральным планом, в Генеральный план в пятимесячный срок с даты утверждения таких программ и принятия таких решений вносятся соответствующие изменения.
1.15. В случае если в Генеральный план внесены изменения, предусматривающие строительство или реконструкцию объектов коммунальной, транспортной, социальной инфраструктур, которые являются объектами местного значения и не включены в программы комплексного развития систем коммунальной инфраструктуры поселения, программы комплексного развития транспортной инфраструктуры поселения, программы комплексного развития социальной инфраструктуры поселения, данные программы подлежат приведению в соответствие с Генеральным планом в трехмесячный срок с даты внесения соответствующих изменений в Генеральный план.
1.16. Указанные в настоящем Положении характеристики планируемых для размещения объектов местного значения сельского поселения Виловатое (площадь, протяженность, количество мест и т.п.) являются ориентировочными и подлежат уточнению в документации по планировке территории и в проектной документации на соответствующие объекты.
1.17. Вновь построенные, прошедшие реконструкцию или капитальный ремонт объекты должны соответствовать требованиям доступности для маломобильных групп населения (в том числе инвалидов-колясочников, инвалидов по слуху и зрению).
1.18. Характеристики зон с особыми условиями использования территории планируемых объектов местного значения сельского поселения Виловатое, в случае если установление таких зон требуется в связи с размещением данных объектов, определены в соответствии с законодательством Российской Федерации, действовавшим на момент подготовки Генерального плана.
Размеры санитарно-защитных зон иных планируемых объектов местного значения сельского поселения Виловатое, являющихся источниками воздействия на среду обитания, определены в соответствии с СанПиН 2.2.1/2.1.1.1200-03 «Санитарно-защитные зоны и санитарная классификация предприятий, сооружений и иных объектов», утвержденными постановлением Главного государственного санитарного врача Российской Федерации от 25.09.2007 N 74 (далее также – СанПиН 2.2.1/2.1.1.1200-03).
Размеры санитарно-защитных зон планируемых объектов местного значения сельского поселения Виловатое, являющихся источниками воздействия на среду обитания, для которых СанПиН 2.2.1/2.1.1.1200-03 не установлены размеры санитарно-защитной зоны и рекомендуемые разрывы, а также размеры санитарно-защитных зон планируемых объектов местного значения сельского поселения Виловатое I – III классов опасности, определяются проектами ориентировочного размера санитарно-защитной зоны соответствующих объектов.
1.19. Применение отображенных на картах материалов по обоснованию Генерального плана зон с особыми условиями использования территории осуществляется с учетом положений Земельного кодекса Российской Федерации о том, что установление, изменение, прекращение существования зоны с особыми условиями использования территории осуществляются на основании решения уполномоченного органа государственной власти, органа местного самоуправления и положений статьи 26 Федерального закона от 03.08.2018 N 342-ФЗ «О внесении изменений в Градостроительный кодекс Российской Федерации и отдельные законодательные акты Российской Федерации» (далее – Законы).
Ограничения использования земельных участков в зонах с особыми условиями использования территорий считаются установленными или измененными со дня внесения сведений в Единый государственный реестр недвижимости.
Определенные в соответствии с требованиями законодательства в области обеспечения санитарно-эпидемиологического благополучия населения и отображенные на картах материалов по обоснованию Генерального плана ориентировочные, расчетные (предварительные) санитарно-защитные зоны применяются в порядке, установленном статьей 26 Федерального закона «О внесении изменений в Градостроительный кодекс Российской Федерации и отдельные законодательные акты Российской Федерации».
1.20. Отображение на картах Генерального плана планируемых для размещения объектов федерального значения, объектов регионального значения, объектов местного значения муниципального района Богатовский не определяет их местоположение, а осуществляется в целях определения функциональных зон их размещения.
1.21. При осуществлении учёта интересов Самарской области на территории сельского поселения Виловатое муниципального района Богатовский предусмотреть мероприятия:
реконструкция автодороги Богатое - «Самара - Оренбург» км 16+100 - км 33+100 (км 23+900, км 3+790);
реконструкция автодороги Богатое - «Самара - Оренбург» км 0+000 - км 16+100 (км 1+940).
1.22. Отображение на картах Генерального плана существующих и планируемых объектов, не являющихся объектами федерального значения, объектами регионального значения, объектами местного значения, осуществляется в информационных целях.
2. Сведения о видах, назначении и наименованиях планируемых для размещения
объектов местного значения сельского поселения Виловатое муниципального района Богатовский Самарской
области, их основные характеристики и местоположение
2.1. Объекты местного значения в сфере физической культуры и массового спорта
N п/п | Назначение и наименование объекта | Местоположение объекта | Вид работ, который планируется в целях размещения объекта | Срок, до которого планируется размещение объекта, годы | Основные характеристики объекта | Характеристики зон с особыми условиями использования территорий | |
площадь земельного участка | иные характеристики | ||||||
1. | Физкультурно-оздоровительный центр со спортивным залом общего пользования | село Андреевка, площадка N 1 в северо-восточной части села | Строительство | 2033 |
| Спортивный зал общего пользования площадью – 90 м | Установление зон с особыми условиями использования территорий в связи с размещением объекта не требуется |
2. | Спортивное плоскостное сооружение | село Андреевка, площадка N 1 в северо-восточной части села | Строительство | 2033 | 1,4 га | Со стационарными трибунами до 100 мест | |
3. | Спортивно-оздоровительный центр со спортивным залом общего пользования | посёлок Буревестник, площадка N 2 в юго-западной части села | Строительство | 2033 |
| Спортивный зал общего пользования площадью – 30 м |
|
2.2. Объекты местного значения в сфере культуры
N п/п | Назначение и наименование объекта | Местоположение объекта | Вид работ, который планируется в целях размещения объекта | Срок, до которого планируется размещение объекта, годы | Основные характеристики объекта | Характеристики зон с особыми условиями использования территорий | |
площадь земельного участка | иные характеристики | ||||||
1. | Здание сельского дома культуры | село Виловатое, ул. Октябрьская | Реконструкция | 2033 |
| 250 посетительских мест | Установление зон с особыми условиями использования территорий в связи с размещением объекта не требуется |
2. | Центр культуры с кинозалом | село Андреевка, площадка N 1 в северо-восточной части села | Строительство | 2033 | 0,4 га | 300 посетительских мест | |
2.3. Объекты местного значения в сфере создания условий для массового отдыха жителей
и организации обустройства мест массового отдыха населения
N п/п | Назначение и наименование объекта | Местоположение объекта | Вид работ, который планируется в целях размещения объекта | Срок, до которого планируется размещение объекта, годы | Основные характеристики объекта (общая площадь объектов), га | Характеристики зон с особыми условиями использования территорий |
1. | Сквер | село Виловатое, ул. Октябрьская, в центре села | Реконструкция | 2033 | 0,4 | Установление зон с особыми условиями использования территорий в связи с размещением объекта не требуется |
2. | Сквер | село Андреевка, ул. Чапаева, в центре села | Реконструкция | 2033 | 0,4 | |
3. | Сквер | село Виловатое, площадка N 1 в юго-западной части села с северной стороны автомобильной дороги Р-224 «Самара – Оренбург» | Строительство | 2033 | 0,3 | |
4. | Два сквера в селе, один из них – с детской площадкой | село Виловатое, площадка N 1 в юго-западной части села с северной стороны автомобильной дороги Р-224 «Самара – Оренбург» | Строительство | 2033 | 0,06 0,18 | |
5. | Сквер | село Виловатое, площадка N 2 в юго-восточной части села с северной стороны автомобильной дороги Р-224 «Самара – Оренбург» | Строительство | 2033 | 0,2 | Установление зон с особыми условиями использования территорий в связи с размещением объекта не требуется |
6. | Три сквера | село Андреевка, площадка N 1 в северо-восточной части села с западной стороны автомобильной дороги Богатое – «Самара – Оренбург» | Строительство | 2033 | 1,5 | |
7. | Пляж | село Андреевка, в юго-западной части села, берег озера Лещевое | Строительство | 2033 | 0,2 | |
8. | Сквер | поселок Буревестник, площадка N 1 в восточной части поселка с северной стороны автомобильной дороги «Андреевка – Буревестник» | Строительство | 2033 | 0,2 |
2.4. Объекты местного значения в сфере муниципального управления
N п/п | Назначение и наименование объекта | Местоположение объекта | Вид работ, который планируется в целях размещения объекта | Срок, до которого планируется размещение объекта, годы | Основные характеристики объекта | Характеристики зон с особыми условиями использования территорий | ||
площадь земельного участка | площадь объекта | иные характеристики | ||||||
1. | Административное здание | село Виловатое, улица Советская | Строитель-ство | 2033 |
|
| 5 рабочих мест | Установление зон с особыми условиями использования территорий в связи с размещением объекта не требуется |
2.5. Объекты местного значения в сфере водоснабжения
N п/п | Назначение и наименование объекта | Местоположение объекта | Вид работ, который планируется в целях размещения объекта | Срок, до которого планируется размещение объекта, годы | Основные характеристики объекта | Характеристики зон с особыми условиями использования территорий | |
протяженность, км | иные характеристики | ||||||
1. | Водопроводные сети | село Виловатое, в том числе: на площадке N 1 (улицы N 1 – 6), на площадке N 2 (улицы N 7 – 9) | Строитель-ство | 2033 | 2,7
1,9
0,8 |
| Установление зон с особыми условиями использования территорий в связи с размещением объекта не требуется |
2. | Водопроводные сети | село Андреевка, в том числе: на площадке N 1 (улицы N 1 – 7) | Строитель-ство | 2033 | 6,1
4,2
|
| |
3. | Водопроводные сети | поселок Буревестник, в том числе: на площадке N 1 (улицы N 1 – 6), на площадке N 2 (улицы N 7 – 10), на площадке N 3 | Строитель-ство | 2033 | 2,5
0,7
1,8
1,9
|
| |
2.6. Объекты местного значения в сфере газоснабжения
N п/п | Назначение и наименование объекта | Местоположение объекта | Вид работ, который планируется в целях размещения объекта | Срок, до которого планируется размещение объекта, годы | Основные характеристики объекта | Характеристики зон с особыми условиями использования территорий | |
протяженность, км | иные характеристики | ||||||
1. | Сети газопровода | село Виловатое, в том числе: на площадке N 1 (улицы N 1 – 6), на площадке N 2 (улицы N 7 – 9) | Строитель ство | 2033 | 2,6
1,9
0,7 |
| В соответствии с Правилами охраны газораспределите-льных сетей, утвержденными постановлением Правительства Российской Федерации от 20.11.2000 N 878, вдоль трасс наружных газопроводов охранные зоны устанавливаются в виде территории, ограниченной условными линиями, проходящими на расстоянии 2 метров с каждой стороны газопровода; |
2. | Сети газопровода | село Андреевка, в том числе: на площадке N 1 (улицы N 1 – 7),
| Строительство | 2033 | 4,6
3,1
|
| вдоль трасс подземных газопроводов из полиэтиленовых труб при использовании медного провода для обозначения трассы газопровода – в виде территории, ограниченной условными линиями |
3. | Сети газопровода | поселок Буревестник, в том числе: на площадке N 1 (улицы N 1 – 6), на площадке N 2 (улицы N 7 – 10), на площадке N 3
| Строительство | 2033 | 5,6
|
| проходящими на расстоянии 3 метров от газопровода со стороны провода и 2 метров – с противоположной стороны |
2.7. Объекты местного значения в сфере электроснабжения
N п/п | Назначение и наименование объекта | Местоположение объекта | Вид работ, который планируется в целях размещения объекта | Срок, до которого планируется размещение объекта, годы | Основные характеристики объекта | Характеристики зон с особыми условиями использования территорий | |
протяженность, км | иные характеристики | ||||||
1. | Воздушные линии электропередачи (ВЛ) | село Виловатое, площадка N 1, | Строительство | 2023 | 0,2 | Напряжение – 10 кВ | В соответствии с Правилами установления охранных зон объектов электросетевого хозяйства и особых условий использования земельных участков, расположенных в границах таких зон, утвержденными постановлением Правительства Российской Федерации от 24.02.2009 N 160, размер охранной зоны – 10 м по обе стороны от крайних проводов (5 м – для линий с самонесущими или изолированными проводами, размещенных в границах населенных пунктов) |
село Виловатое, площадка N 2, | 0,05 | Напряжение – 10 кВ | |||||
село Виловатое, в существующей застройке, | 0,25 | Напряжение – 10 кВ | |||||
село Андреевка, площадка N 1, | 0,3
| Напряжение – 10 кВ | |||||
поселок Буревестник, площадка N 1, | 0,4 | Напряжение – 10 кВ | |||||
поселок Буревестник, площадка N 2, | 0,6 | Напряжение – 10 кВ | |||||
поселок Буревестник, площадка N 3, | 0,2 | Напряжение – 10 кВ | |||||
село Андреевка, площадка N 1 | Строительство | 2033 | 0,7 | Напряжение – 10 кВ | |||
2. | Комплектные трансформаторные подстанции (КТП) | село Виловатое, площадка N 1 (восточная часть ул. N 2), | Строительство | 2023 |
| Напряжение –10/0,4 кВ, мощность – 1х160 кВа | В соответствии с СанПиН 2.2.1/2.1.1.1200-03 размер санитарно-защитной зоны устанавливается в зависимости от типа (открытые, закрытые), мощности на основании расчетов физического воздействия на атмосферный воздух, а также результатов натурных измерений |
село Виловатое, площадка N 1 (западная часть ул. N 2), | Напряжение – 10/0,4 кВ, мощность – 1х160 кВа | ||||||
село Виловатое, площадка N 2 (ул. N 7), | Напряжение –10/0,4 кВ, мощность – 1х100 кВа | ||||||
село Андреевка, площадка N 1 (ул. N 2а), | Напряжение – 10/0,4 кВ, мощность –1х250 кВа | ||||||
посёлок Буревестник, площадка N 1 (ул. N 5), | Напряжение – 10/0,4 кВ, мощность – 1х160 кВа | ||||||
посёлок Буревестник, площадка N 2 (ул. Озёрная), | Напряжение –10/0,4 кВ, мощность – 1х160 кВа | ||||||
посёлок Буревестник, площадка N 3, | Напряжение – 10/0,4 кВ, мощность – 1х160 кВа | ||||||
село Андреевка, площадка N 1 (ул. N 2), | Строительство | 2033 |
| Напряжение – 10/0,4 кВ, мощность – 1х250 кВа | |||
село Андреевка, площадка N 1 (ул. N 3), | Напряжение –10/0,4 кВ, мощность –1х250 кВа | ||||||
село Андреевка, площадка N 1 (ул. N 4) | Напряжение – 10/0,4 кВ, мощность – 1х250 кВа | ||||||
2.8. Объекты местного значения в сфере обеспечения жителей поселения услугами связи
N п/п | Назначение и наименование объекта | Местополо-жение объекта | Вид работ, который планируется в целях размещения объекта | Срок, до которого планируется размещение объекта, годы | Основные характеристики объекта | Характеристики зон с особыми условиями использования территорий | |
протяжен-ность, км | иные характеристики | ||||||
1. | Кабель связи | село Виловатое, площадки N 1, 2 | Строительство | 2023 | 1,7 |
| Установление зон с особыми условиями использования территорий в связи с размещением объекта не требуется |
2. | Шкаф распределительный | село Виловатое, площадка N 1 (ул. N 2) | Строительство | 2023 |
| Тип - ШР-150 | |
3. | Кабель связи | село Андреевка, площадка N 1 | Строительство | 2033 | 1 |
| |
4. | Шкаф распределительный | посёлок Буревестник, площадка N 3 | Строительство | 2023 |
| Тип - ШР-150 | |
5 | Кабель связи | посёлок Буревестник, площадка N 3 | Строительство | 2033 | 1 |
| |
6. | Шкаф распределительный | село Андреевка, площадка N 1 (ул. N 7) | Строительство | 2033 |
| Тип - ШР-300 | |
2.9. Объекты местного значения в сфере транспортной инфраструктуры
N п/п | Назначение и наименование объекта | Местополо-жение объекта | Вид работ, который планируется в целях размещения объекта | Срок, до которого планируется размещение объекта, годы | Основные характеристики объекта | Характеристики зон с особыми условиями использования территорий | |
протяженность, км | иные характеристики | ||||||
1. | Улицы и автомобильные дороги местного значения | село Виловатое, в том числе: на площадке N 1 (улицы: N 1 – 6), на площадке N 2 (улицы: N 7 – 9) | Строительство | 2033 | 2,9
2,3
0,6 |
| Установление зон с особыми условиями использования территорий в связи с размещением объекта не требуется |
2. | Улицы и автомобильные дороги местного значения | село Андреевка, в том числе: на площадке N 1 (улицы: N 1 – 7)
| Строительство | 2033 | 6
5
|
|
|
3. | Улицы и автомобильные дороги местного значения | поселок Буревестник, в том числе: на площадке N 1 (улицы: N 1 – 6),
на площадке N 2 (улицы: N 7 – 10), на площадке N 3
| Строительство | 2033 |
3,3
2,3
1
1 |
|
|
2.10. Объекты местного значения в сфере инженерной инфраструктуры
N п/п | Назначение и наименование объекта | Местополо-жение объекта | Вид работ, который планируется в целях размещения объекта | Срок, до которого планируется размещение объекта, годы | Основные характеристики объекта | Характеристики зон с особыми условиями использования территорий | |
протяжен-ность, км | иные характеристики | ||||||
1. | Дамба | село Виловатое, река Самара | Строительство | 2033 | 0,4 |
| Установление зон с особыми условиями использования территорий в связи с размещением объекта не требуется |
3. Параметры функциональных зон, а также сведения о планируемых для размещения в них объектах регионального значения, объектах
местного значения муниципального района Богатовский, объектах местного
значения сельского поселения Виловатое, за исключением линейных объектов
Вид зоны
| Площадь, га | Коэффициент застройки | Коэффициент плотности застройки | Иные параметры | |||
Жилые зоны | 478,59 | 0,2 | 0,4 | Максимальная этажность здания – 4 этажа | |||
| Объекты местного значения муниципального района: общеобразовательное учреждение (начального общего, основного общего, среднего (полного) общего образования) по ул. Советской в селе Виловатое (230 мест, реконструкция); дошкольное образовательное учреждение по ул. Советской в селе Виловатое (40 мест, реконструкция); дошкольное образовательное учреждение на 20 мест, совмещенное с общеобразовательным учреждением начального общего образования на 20 мест, в селе Виловатое на площадке N 1, (ориентировочная площадь земельного участка – 0,2 га); общеобразовательное учреждение (начального общего, основного общего, среднего (полного) общего образования) по ул. Чапаева в селе Андреевка (170 мест, реконструкция); дошкольное образовательное учреждение по ул. Чапаева в селе Андреевка (40 мест, реконструкция); дошкольное образовательное учреждение на 30 мест, совмещенное с общеобразовательным учреждением начального общего образования на 30 мест, в селе Андреевка на площадке N 1; центр внешкольного образования в селе Андреевка на площадке N 1 (40 мест) | ||||||
Развитие жилой зоны до 2023 года в селе Виловатое планируется на следующих площадках: на площадке N 1, расположенной в юго-западной части села, общей площадью территории – 15,5 га (планируется размещение 58 индивидуальных жилых домов, ориентировочная общая площадь жилищного фонда – 8 700 кв. м, расчетная численность населения – 203 человека); на площадке N 2, расположенной в юго-восточной части села с северной стороны автомобильной дороги Р-224 «Самара – Оренбург», общей площадью территории – 4,1 га (планируется размещение 20 индивидуальных жилых домов, ориентировочная общая площадь жилищного фонда – 3 000 кв. м, расчетная численность населения – 70 человек); на площадке N 3, расположенной с северной стороны автомобильной дороги Р-224 «Самара – Оренбург» в 500 метрах западнее площадки N 2, общей площадью территории – 1,5 га (планируется размещение 8 индивидуальных жилых домов, ориентировочная общая площадь жилищного фонда – 1 200 кв. м, расчетная численность населения – 28 человек). Развитие жилой зоны в селе Андреевка планируется на следующих площадках: на площадке N 1, расположенной в северо-восточной части села с западной стороны автодороги Богатое - "Самара - Оренбург", общей площадью территории – 36 га, в том числе: до 2023 года – 9,4 га, до 2033 года – 26,6 га (планируется размещение 160 индивидуальных жилых домов, в том числе до 2023 года – 35 индивидуальных жилых домов, до 2033 года – 125 индивидуальных жилых домов, ориентировочная общая площадь жилищного фонда – 8 700 кв. м, в том числе до 2023 года – 5 300 кв. м, до 2033 года – 18 800 кв. м, расчетная численность населения – 561 человек, в том числе до 2023 года – 123 человека, до 2033 года – 438 человек). Развитие жилой зоны до 2023 года в поселке Буревестник планируется на следующих площадках: на площадке N 1, расположенной в восточной части поселка с северной стороны автомобильной дороги общего пользования Андреевка-Буревестник – 5,7 га (планируется размещение 25 индивидуальных жилых домов, ориентировочная общая площадь жилищного фонда – 3 800 кв. м, расчетная численность населения – 88 человек); на площадке N 2, расположенной с юго-западной стороны поселка вдоль озера Елховое, общей площадью территории – 7,2 га (планируется размещение 48 индивидуальных жилых домов, ориентировочная общая площадь жилищного фонда – 7 200 кв. м, расчетная численность населения – 168 человек); на площадке N 3, расположенной с юго-западной стороны села, общей площадью территории – 10 га (планируется размещение 48 индивидуальных жилых домов, ориентировочная общая площадь жилищного фонда – 7 200 кв. м, расчетная численность населения – 168 человек)
| |||||||
Общественно-деловые зоны | 9,55 | 0,8 – 1 | 2,4 – 3 | Максимальная этажность здания – 4 этажа | |||
| Объекты местного значения муниципального района: здание офиса врача общей практики в селе Виловатое на площадке N 1, ориентировочная площадь земельного участка - 0,2 га; здание офиса врача общей практики в селе Андреевка на площадке N 1 ориентировочная площадь земельного участка - 0,2 га; крытая комплексная спортивная площадка в селе Виловатое на площадке N 2, (ориентировочная площадь земельного участка – 0,4 га); физкультурно-оздоровительный комплекс со спортивным залом общего пользования 60 м в селе Виловатое на площадке N 1. Объекты местного значения сельского поселения: спортивно-оздоровительный центр со спортивным залом общего пользования 30 м в селе Андреевка на площадке N 2, расположенной с юго-западной стороны села; центр культуры с кинозалом в селе Виловатое на площадке N 1, (140 посетительских мест, ориентировочная площадь земельного участка – 0,2-0,5 га); центр культуры с кинозалом в селе Андреевка на площадке N 1, расположенной в северо-восточной части села (300 посетительских мест); здание сельского Дома культуры по ул. Октябрьской в селе Виловатое (250 посетительских мест, реконструкция); административное здание в селе Виловатое по улице Советской
| ||||||
Зоны рекреационного назначения | 1960,90 |
|
| Максимальная этажность здания – 3 этажа | |||
| Объекты местного значения сельского поселения: сквер в центре села Виловатое по ул. Октябрьской (общая площадь земельного участка – 0,4 га, реконструкция); сквер в центре села Андреевка по ул. Чапаева (общая площадь земельного участка – 0,1 га, реконструкция); сквер в селе Виловатое на площадке N 1, расположенной в юго-западной части (ориентировочная площадь земельного участка – 0,3 га); два сквера в селе Виловатое, один из них – с детской площадкой, на площадке N 1, расположенной в юго-западной части села (ориентировочная площадь земельных участков – 0,06 и 0,18 га); сквер в селе Виловатое на площадке N 2, расположенной в юго-восточной части села (ориентировочная площадь земельного участка – 0,2 га); три сквера в селе Андреевка на площадке N 1 (ориентировочная общая площадь земельных участков – 1,5 га); пляж на берегу озера Лещевое в селе Андреевка на площадке, расположенной с юго-западной стороны села (ориентировочная площадь земельного участка – 0,2 га); сквер в поселке Буревестник на площадке N 1, расположенной в восточной части поселка (ориентировочная площадь земельного участка – 0,2 га); физкультурно-оздоровительный центр со спортивным залом общего пользования 90 м в селе Андреевка на площадке N 1; спортивное плоскостное сооружение в селе Андреевка на площадке N 1, расположенной в северо-восточной части села (ориентировочная площадь земельного участка – 1,4 га) | ||||||
в том числе, зона лесов: |
| ||||||
| 1783,31 |
|
|
| |||
Зоны сельскохозяйствен-ного использования | 15148,96
|
0,6 |
1,8 | Максимальная этажность здания – 2 этажа | |||
Производственные зоны, зоны инженерной и транспортной инфраструктур | 236,68 |
0,8 |
2,4 | Максимальная этажность здания – 2 этажа | |||
| Объекты регионального значения: пожарное депо на 2 машины в южной части села Виловатое. | ||||||
Производственная зона | 7,13 | 0,8 | 2,4 |
| |||
Зоны специального назначения | 7,40 |
|
|
| |||






















































